【药物名称】
化学结构式(Chemical Structure):
参考文献No.41174
标题:Biphenyl oxo-acetic acids useful in the treatment of insulin resistance and hyperglycemia
作者:McDevitt, R.E.; Malamas, M.S.; Adebayo, F.O. (American Home Products Corp.)
来源:WO 9958518
合成路线图解说明:

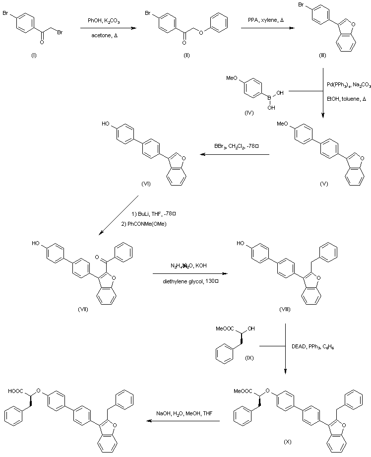
Condensation of 4-bromophenacyl bromide (I) with phenol in the presence of potassium carbonate produced phenoxyacetophenone (II), which was cyclized to benzofuran (III) upon treatment with polyphosphoric acid in refluxing xylene. Suzuki coupling of (III) with 4-methoxybenzeneboronic acid (IV) gave the biphenyl benzofuran (V). The phenolic derivative (VI) was prepared by demethylation of ether (V) with boron tribromide. Lithiation of (VI) with n-butyllithium, followed by addition of N-methoxy-N-methyl benzamide afforded ketone (VII), which was converted to the benzyl benzofuran (VIII) by means of a modified Wolff-Kishner reduction. Coupling of (VIII) with methyl (S)-3-phenyllactate (IX) under Mitsunobu conditions furnished the corresponding ether (X). The methyl ester group of (X) was finally hydrolyzed with NaOH to yield the title carboxylic acid.

参考文献No.573051
标题:Novel benzofuran and benzothiophene biphenyls as inhibitors of protein tyrosine phosphatase 1B with antihyperglycemic properties
作者:Malamas, M.S.; Sredy, J.; Moxham, C.; Katz, A.; Xu,W.; McDevitt, R.; Adebayo, F.O.; Sawicki, D.R.; Seestaller, L.; Sullivan, D.; Taylor, J.R.
来源:J Med Chem 2000,43(7),1293
合成路线图解说明:

Condensation of 4-bromophenacyl bromide (I) with phenol in the presence of potassium carbonate produced phenoxyacetophenone (II), which was cyclized to benzofuran (III) upon treatment with polyphosphoric acid in refluxing xylene. Suzuki coupling of (III) with 4-methoxybenzeneboronic acid (IV) gave the biphenyl benzofuran (V). The phenolic derivative (VI) was prepared by demethylation of ether (V) with boron tribromide. Lithiation of (VI) with n-butyllithium, followed by addition of N-methoxy-N-methyl benzamide afforded ketone (VII), which was converted to the benzyl benzofuran (VIII) by means of a modified Wolff-Kishner reduction. Coupling of (VIII) with methyl (S)-3-phenyllactate (IX) under Mitsunobu conditions furnished the corresponding ether (X). The methyl ester group of (X) was finally hydrolyzed with NaOH to yield the title carboxylic acid.

Drug Information Express,Drug R&D,Chemical Database,Patent Search.
Copyright © 2006-2026 Drug Future. All rights reserved.Contact Us