【药物名称】NSC-708199
化学结构式(Chemical Structure):
参考文献No.42837
标题:Methods of synthesizing sultams and anti-viral compsns.
作者:Johnson, S.C.; Yan, S.; Mayasundari, A.; Mao, J.; Baker, D.C. (University of Tennessee, Knoxville)
来源:WO 0004004
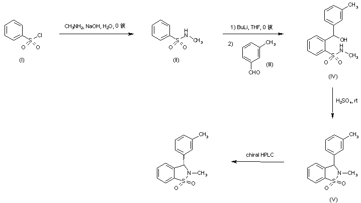
合成路线图解说明:

Reaction of benzenesulfonyl chloride (I) with methylamine afforded sulfonamide (II). Regioselective ortho lithiation of (II) with n-butyllithium, followed by condensation with 3-methylbenzaldehyde (III) gave carbinol (IV), which was cyclized to the sultam (V) by treatment with concentrated H2SO4. The desired (S)-enantiomer was finally isolated by chiral HPLC.

参考文献No.573075
标题:Synthesis and molecular modeling studies of 3-aryl-2-methyl-2,3-dihydrobenzo[d]isothiazole 1,1-dioxides: Nonnucleoside reverse transcriptase inhibitors of HIV-1
作者:Condo, A.M.; et al.
来源:219th ACS Natl Meet (March 26 2000, San Francisco) 2000,Abst MEDI 124
合成路线图解说明:

An enantioselective synthesis of the desired (S)-isomer was further developed starting from saccharin (VI). After conversion to the magnesium amide enolate (VII) by means of phenylmagnesium bromide, addition of Grignard reagent (VIII) produced the aryl sulfonimide (IX). Enantioselective reduction to the (S)-sulfonamide (X) was then accomplished using a chiral rhodium catalyst. Then, N-methylation of (X) with yodomethane in the presence of Cs2CO3 provided the title compound.

Drug Information Express,Drug R&D,Chemical Database,Patent Search.
Copyright © 2006-2026 Drug Future. All rights reserved.Contact Us