【药物名称】TBC-3342
化学结构式(Chemical Structure):
参考文献No.40908
标题:N,N-Disubstd. amides that inhibit the binding of integrins to their receptors
作者:Raju, B.G.; Scott, I.L.; Biediger, R.J.; Market, R.V.; Grabbe, V.O.; Kassir, J.M.; Kogan, T.P.; Lin, S. (Texas Biotechnology Corp.)
来源:US 6096773; WO 9952493; WO 9952898
合成路线图解说明:

Reductive condensation of 2-thienylmethylamine (I) with 2-thiophenecarboxaldehyde (II) in the presence of NaBH(OAc)3 provided bis(2-thienylmethyl)amine (III), which was coupled with N-Boc-2-aminohexanoic acid (IV) by means of EDC and HOBt, yielding amide (V). Acid deprotection of the Boc group of (V) then gave amine (VI).

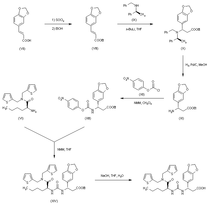
合成路线图解说明:

Treatment of 3,4-(methylenedioxy)cinnamic (VII) with SOCl2 and then with EtOH provided ethyl ester (VIII). Subsequent conjugate addition of the chiral amine (IX) to ester (VIII) in the presence of BuLi gave amino ester (X). Cleavage of benzyl and alpha-methylbenzyl protecting groups of (X) was then achieved by catalytic hydrogenolysis over Pd/C. The resulting primary amine (XI) was acylated with 4-nitrophenyl chloroformate (XII) to produce carbamate (XIII), which was condensed with amine (VI) to generate urea (XIV). Finally, basic hydrolysis of the ethyl ester of (XIV) furnished the title carboxylic acid.

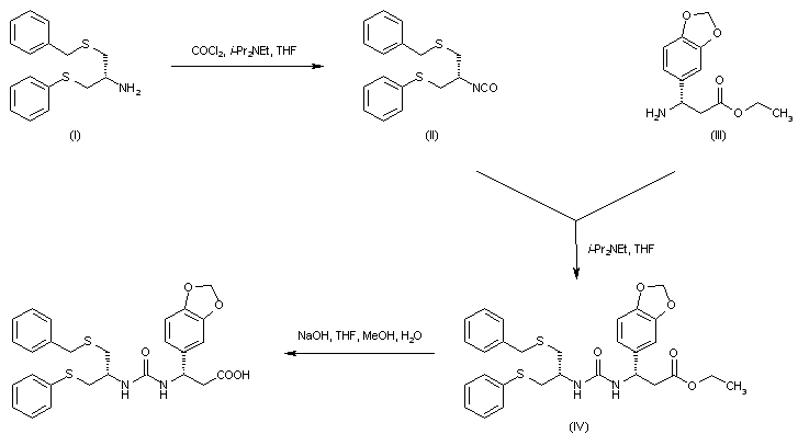
合成路线图解说明:

Amine (I) was treated with phosgene to produce isocyanate (II), which was coupled with ethyl 3-amino-3-(3,4-methylenedioxyphenyl)propionate (III), yielding urea (IV). Basic hydrolysis of the ethyl ester of (IV) then gave the title carboxylic acid.

Drug Information Express,Drug R&D,Chemical Database,Patent Search.
Copyright © 2006-2026 Drug Future. All rights reserved.Contact Us