【药物名称】
化学结构式(Chemical Structure):
参考文献No.572887
标题:Novel, potent, and selective factor Xa inhibitors featuring a hydrophobic P1-ketoamide moiety
作者:Semple, J.E.; et al.
来源:219th ACS Natl Meet (March 26 2000, San Francisco) 2000,Abst MEDI 193
合成路线图解说明:

Coupling of Boc-d-nitroarginine (I) with sarcosine methyl ester (II) in the presence of EDC and HOBt gave dipeptide (III). Subsequent deprotection of the Boc group of (III) afforded amine (IV), which was coupled with benzylsulfonyl chloride (V), yielding sulfonamide (VI). Then, saponification of the methyl ester of (VI) with LiOH furnished carboxylic acid (VII).

合成路线图解说明:

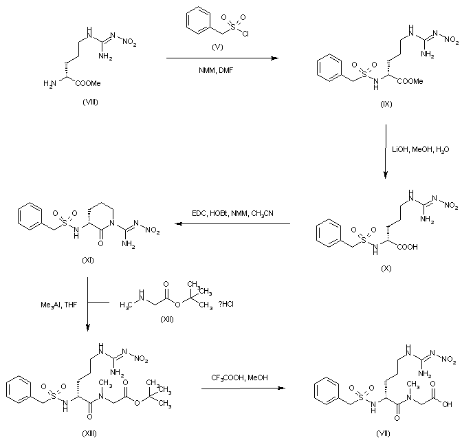
In an alternative procedure, d-nitroarginine methyl ester (VIII) was condensed with sulfonyl chloride (V) giving sulfonamide (IX). The hydrolysis of the ester group of (IX) with LiOH produced carboxylic acid (X). Conversion of (X) to arginine lactam (XI) was effected by treatment with EDC and HOBt. Subsequent opening of the lactam ring of (XI) with sarcosine tert-butyl ester (XII) in the presence of AlMe3 gave rise to dipeptide (XIII). The tert-butyl ester of (XIII) was then cleaved by treatment with trifluoroacetic acid.

合成路线图解说明:

Cyclohexylalanine (XIV) was protected as the Boc derivative (XV) and then coupled with N,O-dimethylhydroxylamine to produce the Weinreb amide (XVI). Reduction of (XVI) with LiAlH4 at -78 C gave aldehyde (XVII) and subsequent addition of tert-butyl isonitrile furnished hydroxy amide (XVIII). After acid hydrolysis of (XVIII), amino acid (XIX) was protected as the N-Boc derivative (XX). This was coupled with benzodioxolylmethyl amine (XXI) yielding amide (XXII). Acid deprotection of the Boc group of (XXII) gave (XXIII), which was further coupled with dipeptide (VII) to generate tripeptide amide (XXIV). Following hydrogenolytic deprotection of the N-nitro group of (XXIV), Swern oxidation of the alcohol group gave rise to the title compound.

Drug Information Express,Drug R&D,Chemical Database,Patent Search.
Copyright © 2006-2026 Drug Future. All rights reserved.Contact Us