【药物名称】
化学结构式(Chemical Structure):
参考文献No.573138
标题:Human beta3 adrenergic receptor agonists containing 1,2,3-triazole-substituted benzenesulfonamides
作者:Brockunier, L.L.; Parme, E.R.; Ok, H.O.; et al.
来源:219th ACS Natl Meet (March 26 2000, San Francisco) 2000,Abst MEDI 252
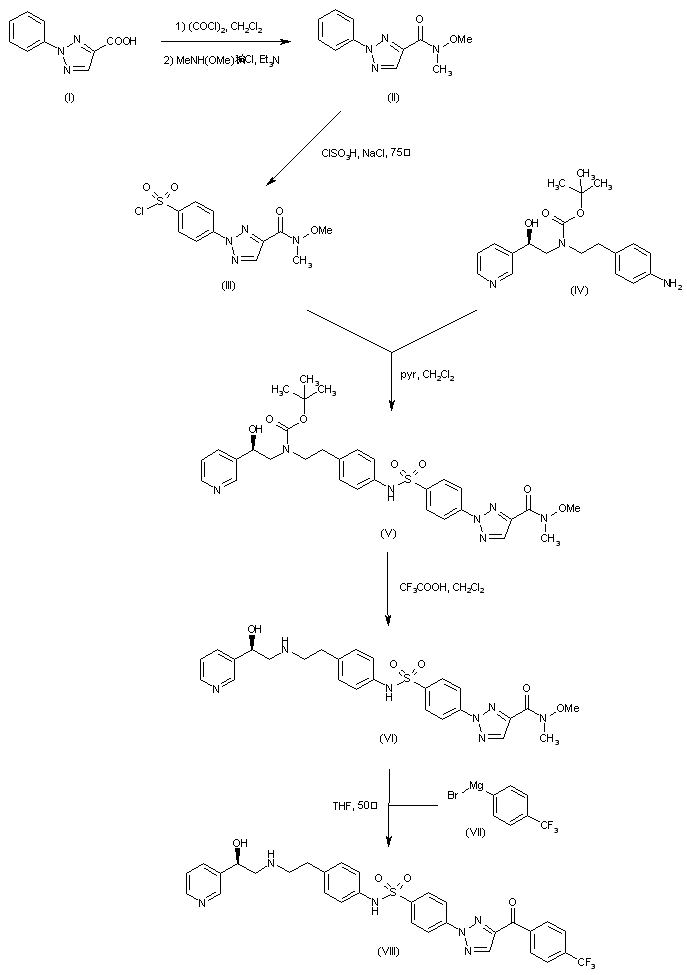
合成路线图解说明:

2-Phenyl-1,2,3-triazole-4-carboxylic acid (I) was converted to acid chloride, which was further treated with N-methoxy-N-methylamine to provide the corresponding Weinreb amide (II). Subsequent chlorosulfonylation of (II) gave rise to sulfonyl chloride (III), which was coupled with the known amine (IV), yielding sulfonamide (V). The Boc protecting group of (V) was then cleaved by means of trifluroacetic acid to afford (VI). Addition of Grignard reagent (VII) to the N-methoxyamide (VI) furnished ketone (VIII).

合成路线图解说明:

After reduction of (VIII) to alcohol (IX) with NaBH4, further alcohol reduction using triethylsilane and trifluoroacetic acid produced the title compound

参考文献No.593648
标题:Human beta3-adrenergic receptor agonist containing 1,2,3-triazole-substituted benzenesulfonamides
作者:Brockunier, L.L.; Parmee, E.R.; Ok, H.O.; Candelore, M.R.; Cascieri, M.A.; Colwell, L.F. Jr.; Deng, L.; Feeney, W.P.; Forrest, M.J.; Hom, G.J.; MacIntyre, D.E.; Tota, L.; Wyvratt, M.J.; Fisher, M.H.; Weber, A.E.
来源:Bioorg Med Chem Lett 2000,10(18),2111
合成路线图解说明:

2-Phenyl-1,2,3-triazole-4-carboxylic acid (I) was converted to acid chloride, which was further treated with N-methoxy-N-methylamine to provide the corresponding Weinreb amide (II). Subsequent chlorosulfonylation of (II) gave rise to sulfonyl chloride (III), which was coupled with the known amine (IV), yielding sulfonamide (V). The Boc protecting group of (V) was then cleaved by means of trifluroacetic acid to afford (VI). Addition of Grignard reagent (VII) to the N-methoxyamide (VI) furnished ketone (VIII).

合成路线图解说明:

After reduction of (VIII) to alcohol (IX) with NaBH4, further alcohol reduction using triethylsilane and trifluoroacetic acid produced the title compound

Drug Information Express,Drug R&D,Chemical Database,Patent Search.
Copyright © 2006-2026 Drug Future. All rights reserved.Contact Us