【药物名称】NMI-678-11
化学结构式(Chemical Structure):
参考文献No.42981
标题:Nitrosated and nitrosylated alpha-adrenergic receptor antagonists, compsns. and methods of use
作者:Gaston, R.D.; Saenz de Tejada, I.; Schroeder, J.D.; Shelekhin, T.E.; Garvey, D.S.; Wang, T. (NitroMed Inc.)
来源:WO 0012075
合成路线图解说明:

Condensation of diglycolic anhydride (I) with 1-amino-2-methylpropane-2-thiol (II) afforded amide (III). Subsequent nitrosation of the thiol group of (III) employing tert-butyl nitrite gave the nitrosothio derivative (IV). This was then condensed with 4-[2-(dimethylamino)ethoxy]-2-methyl-5-isopropylphenol (VI), prepared by basic hydrolysis of moxisylyte (V), and the resulting compound was finally converted to the succinate salt.

合成路线图解说明:

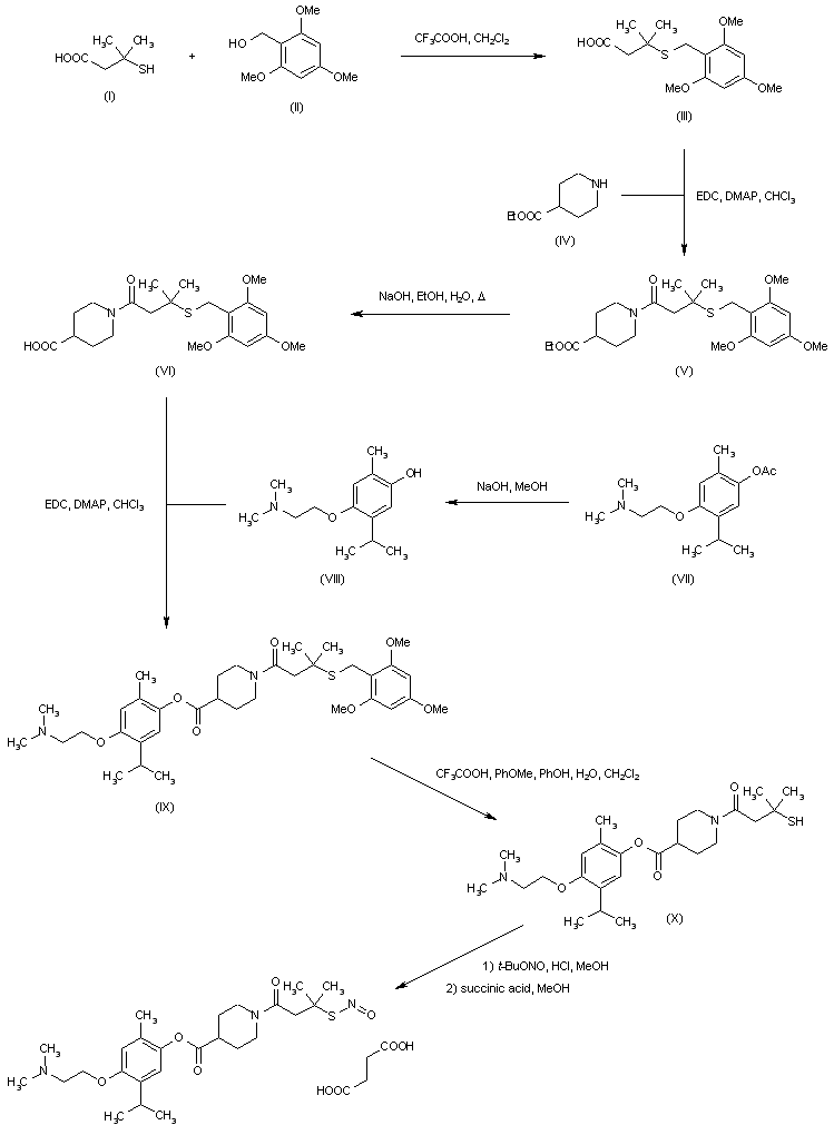
Protection of 3-methyl-3-sulfanylbutanoic acid (I) by treatment with 2,4,6-trimethoxybenzyl alcohol (II) and trifluoroacetic acid produced the trimethoxybenzyl thioether (III). Subsequent coupling of (III) with ethyl isonipecotate (IV) using EDC and DMAP gave amide (V). The ethyl ester group of (V) was then hydrolyzed to carboxylic acid (VI) by means of ethanolic NaOH. This was then condensed with 4-[2-(dimethylamino)ethoxy]-2-methyl-5-isopropylphenol (VIII), prepared by basic hydrolysis of moxisylyte (VII), and the resulting ester (IX) was deprotected with trifluoroacetic acid to give thiol (X). Finally, S-nitrosation of (X) with tert-butyl nitrite, followed by treatment with succinic acid furnished the title compound.

参考文献No.573136
标题:Nitrosylated alpha-adrenergic receptor antagonists as potential agents for the treatment of erectile dysfunction
作者:Earl, R.A.; et al.
来源:219th ACS Natl Meet (March 26 2000, San Francisco) 2000,Abst MEDI 239
合成路线图解说明:

Condensation of diglycolic anhydride (I) with 1-amino-2-methylpropane-2-thiol (II) afforded amide (III). Subsequent nitrosation of the thiol group of (III) employing tert-butyl nitrite gave the nitrosothio derivative (IV). This was then condensed with 4-[2-(dimethylamino)ethoxy]-2-methyl-5-isopropylphenol (VI), prepared by basic hydrolysis of moxisylyte (V), and the resulting compound was finally converted to the succinate salt.

合成路线图解说明:

Protection of 3-methyl-3-sulfanylbutanoic acid (I) by treatment with 2,4,6-trimethoxybenzyl alcohol (II) and trifluoroacetic acid produced the trimethoxybenzyl thioether (III). Subsequent coupling of (III) with ethyl isonipecotate (IV) using EDC and DMAP gave amide (V). The ethyl ester group of (V) was then hydrolyzed to carboxylic acid (VI) by means of ethanolic NaOH. This was then condensed with 4-[2-(dimethylamino)ethoxy]-2-methyl-5-isopropylphenol (VIII), prepared by basic hydrolysis of moxisylyte (VII), and the resulting ester (IX) was deprotected with trifluoroacetic acid to give thiol (X). Finally, S-nitrosation of (X) with tert-butyl nitrite, followed by treatment with succinic acid furnished the title compound.

Drug Information Express,Drug R&D,Chemical Database,Patent Search.
Copyright © 2006-2026 Drug Future. All rights reserved.Contact Us