【药物名称】WAY-141608
化学结构式(Chemical Structure):
参考文献No.38442
标题:Tricyclic vasopressin agonists
作者:Failli, A.A.; Shumsky, J.S.; Steffan, R.J. (American Home Products Corp.)
来源:EP 1000059; WO 9906403
合成路线图解说明:

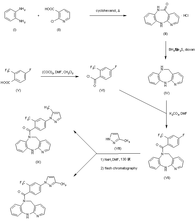
Condensation between 1,2-phenylenediamine (I) and 2-chloronicotinic acid (II) in refluxing cyclohexanol generated the tricyclic system (III). Reduction of keto group of (III) with borane-dimethyl sulfide complex afforded 6,11-dihydro-5H-pyrido[2,3-b][1,5]benzodiazepine (IV). Acid chloride (VI), prepared from 4-fluoro-2-(trifluoromethyl)benzoic acid (V), was then condensed with tricyclic amine (IV) to produce amide (VII). Finally, displamecement of the 4-fluoro group of (VII) by the sodium salt of 3-methylpyrazole (VIII) in hot DMF yielded a 5:1 mixture of the title 3-methylpyrazole derivative and its 5-methyl regioisomer (IX), which were separated by column chromatography.

合成路线图解说明:

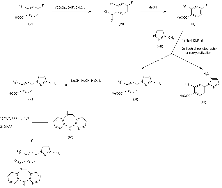
In a modified procedure, 4-fluoro-2-(trifluoromethyl)benzoic acid (V) was converted to acid chloride (VI) and then esterified with methanol to give methyl ester (X). Condensation of (X) with 3-methylpyrazole (VIII) produced a mixture of regioisomeric pyrazoles (XI) and (XII) from which the major 3-methyl isomer (XI) could be isolated by either flash chromatography or by recrystallization from EtOAc-hexane. Basic hydrolysis of the methyl ester of (XI) gave acid (XIII), which was finally coupled with tricyclic amine (IV) via activation as the mixed anhydride with 2,4,6-trichlorobenzoic acid.

合成路线图解说明:

An additional improvement in the ratio of regioisomeric pyrazoles was achieved by displacement of 4-fluoro-2-(trifluoromethyl)benzonitrile (XIV) with 3-methylpyrazole (VIII) in the presence of potassium tert-butoxide to afford a 9:1 mixture of the desired 3-methylpyrazole derivative (XV) and its 5-methyl isomer. Direct recrystallization from EtOH provided pure (XV) that was then hydrolyzed to the carboxylic acid (XIII) by means of NaOH in H2O-EtOH.

参考文献No.573069
标题:Pyridobenzodiazepines: Synthesis and structure-activity relationship of a novel class of orally active vasopressin V2 receptor agonists
作者:Failli, A.A.; Steffan, R.J.; Sumsky, J.S.; et al.
来源:219th ACS Natl Meet (March 26 2000, San Francisco) 2000,Abst MEDI 201
合成路线图解说明:

Condensation between 1,2-phenylenediamine (I) and 2-chloronicotinic acid (II) in refluxing cyclohexanol generated the tricyclic system (III). Reduction of keto group of (III) with borane-dimethyl sulfide complex afforded 6,11-dihydro-5H-pyrido[2,3-b][1,5]benzodiazepine (IV). Acid chloride (VI), prepared from 4-fluoro-2-(trifluoromethyl)benzoic acid (V), was then condensed with tricyclic amine (IV) to produce amide (VII). Finally, displamecement of the 4-fluoro group of (VII) by the sodium salt of 3-methylpyrazole (VIII) in hot DMF yielded a 5:1 mixture of the title 3-methylpyrazole derivative and its 5-methyl regioisomer (IX), which were separated by column chromatography.

合成路线图解说明:

In a modified procedure, 4-fluoro-2-(trifluoromethyl)benzoic acid (V) was converted to acid chloride (VI) and then esterified with methanol to give methyl ester (X). Condensation of (X) with 3-methylpyrazole (VIII) produced a mixture of regioisomeric pyrazoles (XI) and (XII) from which the major 3-methyl isomer (XI) could be isolated by either flash chromatography or by recrystallization from EtOAc-hexane. Basic hydrolysis of the methyl ester of (XI) gave acid (XIII), which was finally coupled with tricyclic amine (IV) via activation as the mixed anhydride with 2,4,6-trichlorobenzoic acid.

Drug Information Express,Drug R&D,Chemical Database,Patent Search.
Copyright © 2006-2026 Drug Future. All rights reserved.Contact Us