【药物名称】PNU-145185
化学结构式(Chemical Structure):
参考文献No.39795
标题:4-Hydroxyquinoline-3-carboxamides and hydrazides as antiviral agents
作者:Schnute, M.E.; Turner, S.R.; Cudahy, M.M.; Vaillancourt, V.A.; Thaisrivongs, S.; Strohbach, J.W.; Romines, K.R.; Tucker, J.A. (Pharmacia Corp.)
来源:EP 1042295; US 6093732; WO 9932450
合成路线图解说明:

The condensation of 2-fluoroaniline (I) with diethyl ethoxymethylene malonate (II) at 130 C afforded enamine (III), which was further cyclized to ethyl 8-fluoro-4-hydroxy-3-quinolinecarboxylate (IV) upon heating at 250 C. Condensation of (III) with neat 4-chlorobenzylamine (V) then provided the desired carboxamide.

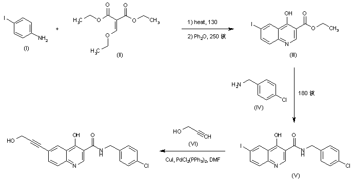
合成路线图解说明:

The condensation between 4-iodoaniline (I) and diethyl ethoxymethylenemalonate (II) at 130 C, followed by cyclization in diphenyl ether at 250 C, furnished ethyl 4-hydroxy-6-iodoquinoline-3-carboxylate (III). Subsequent reaction of ester (III) with 4-chlorobenzylamine (IV) at 180 C produced the corresponding amide (V). Finally, coupling of (V) with propargyl alcohol (VI) in the presence of CuI and palladium catalyst afforded the desired (hydroxypropynyl)quinoline.

参考文献No.573070
标题:4-Hydroxyquinoline-3-carboxamides as inhibitors of herpes virus DNA polymerases
作者:Cudahy, M.M.; Clayton, T.L.; Vailancourt, V.A.; et al.
来源:219th ACS Natl Meet (March 26 2000, San Francisco) 2000,Abst MEDI 135
合成路线图解说明:

The condensation of 2-fluoroaniline (I) with diethyl ethoxymethylene malonate (II) at 130 C afforded enamine (III), which was further cyclized to ethyl 8-fluoro-4-hydroxy-3-quinolinecarboxylate (IV) upon heating at 250 C. Condensation of (III) with neat 4-chlorobenzylamine (V) then provided the desired carboxamide.

Drug Information Express,Drug R&D,Chemical Database,Patent Search.
Copyright © 2006-2026 Drug Future. All rights reserved.Contact Us