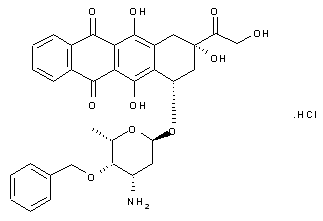
【药物名称】WP-769
化学结构式(Chemical Structure):
参考文献No.48350
标题:Methods and compsns. for the manufacture of C-3' and C-4' anthracycline antibiotics
作者:Fokt, I.; Skibicki, P.; Priebe, W.; Perez-Soler, R.; Grynkiewicz, G.; Krawczyk, M.; Przewloka, T.
来源:WO 0056267
合成路线图解说明:

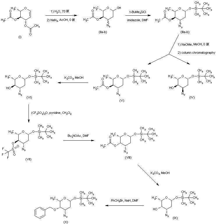
Hydrolysis of 3,4-di-O-acetyl-L-rhamnal (I) in hot water, followed by reaction with sodium azide and HOAc produced azide (II) as a diastereomeric mixture. Subsequent silylation of (II) with tert-butyldimethylsilyl chloride and imidazole gave (III). Treatment of (III) with NaOMe in cold MeOH produced the selective hydrolysis of the undesired isomer to give azido alcohol (IV), which was separated from the unreacted azido ester (V) by column chromatography. Hydrolysis of acetate (V) with K2CO3 in MeOH afforded alcohol (VI). Epimerization of the hydroxyl group of (VI) was then achieved by conversion to triflate (VII), followed by nucleophilic substitution with tetrabutylammonium acetate to produce the epimeric ester (VIII). Hydrolysis of (VIII) with K2CO3 gave alcohol (IX), which was O-alkylated with benzyl bromide and NaH to furnish the intermediate benzyl ether (X).

合成路线图解说明:

In a more direct route starting from 3,4-di-O-acetyl-fucal (XI), aqueous hydrolysis, followed by treatment with NaN3 and HOAc produced the diastereomeric azides (XII). After silylation of (XII) to (XIII), treatment with NaOMe yielded a separable mixture of the undesired alcohol (XIV) and acetate ester (VIII), which was then processed as above to furnish the benzyl ether (X).

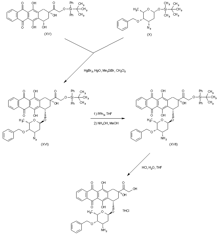
合成路线图解说明:

Coupling of the protected anthracycline aglycon (XV) with the silylated sugar (X) using HgBr2/HgO provided adduct (XVI). The azido group(XVI) was then reduced to amine (XVII) with triphenylphosphine. This compound was finally desilylated by acid treatment to yield the title compound.

Drug Information Express,Drug R&D,Chemical Database,Patent Search.
Copyright © 2006-2026 Drug Future. All rights reserved.Contact Us