【药物名称】
化学结构式(Chemical Structure):
参考文献No.573006
标题:Synthesis and activity of pyrrolidinyl- and thiazolidinyl-dipeptide derivatives as inhibitors of the Tc80 prolyl oligopeptidase from Trypanosoma cruzi
作者:Joyeau, R.; Maoulida, C.; Gullet, C.; Frappier, F.; Teixeira, A.R.L.; Schr関el, J.; Santana, J.; Grellier, P.
来源:Eur J Med Chem 2000,35(2),257
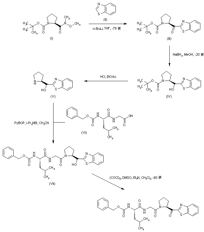
合成路线图解说明:

Condensation of the Weinreb amide of N-Boc-proline (I) with the lithium anion of benzothiazole (II) in THF at -78 C gave benzothiazolyl ketone (III), which was reduced with NaBH4 to afford the diastereomeric mixture of alcohols (IV). Deprotection of the Boc group of (IV) by means of HCl in EtOAc provided pyrrolidine (V). This was then coupled with Z-leucyl-glycine (VI) in the presence of PyBOP to give the peptidyl alcohol (VII). Finally, Swern oxidation of (VII) furnished the corresponding ketone.

合成路线图解说明:

Prolinamide (I) was coupled with Z-leucylglycine (II) in the presence of DCC and HOBt to give the tripeptide amide (III). The terminal carboxamido group of (III) was then dehydrated to the corresponding nitrile by treatment with SOCl2 and N-methylmorpholine.

Drug Information Express,Drug R&D,Chemical Database,Patent Search.
Copyright © 2006-2026 Drug Future. All rights reserved.Contact Us