【药物名称】
化学结构式(Chemical Structure):
参考文献No.573014
标题:Synthesis, antibacterial, antifungal and anti-HIV activities for norfloxacin Mannich bases
作者:Pandeya, S.N.; Sriram, D.; Nath, G.; De Clercq, E.
来源:Eur J Med Chem 2000,35(2),249
合成路线图解说明:

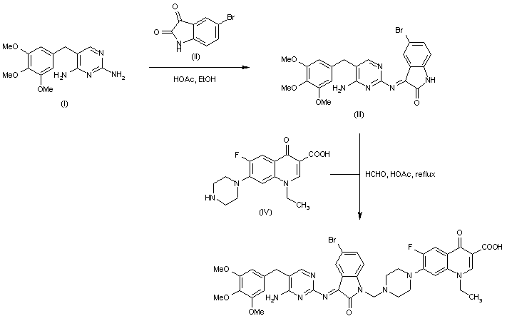
The condensation of trimethoprim (I) with 5-bromoisatin (II) in ethanolic HOAc produced the imine adduct (III). Subsequent condensation with norfloxacin (IV) and formaldehyde yielded the title Mannich base.

Drug Information Express,Drug R&D,Chemical Database,Patent Search.
Copyright © 2006-2026 Drug Future. All rights reserved.Contact Us