【药物名称】
化学结构式(Chemical Structure):
参考文献No.573005
标题:Synthesis and analgesic activity of novel N-acylarylhydrazones and isosters, derived from natural safrole
作者:Lima, P.C.; Lima, L.M.; da Silva, K.C.; Leda, P.H.; de Miranda, A.L.; Fraga, C.A.; Barreiro, E.J.
来源:Eur J Med Chem 2000,35(2),187
合成路线图解说明:

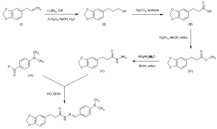
The regioselective hydroboration of safrole (I), followed by oxidative work-up, furnished the primary alcohol (II). Jones oxidation of alcohol (II) yielded carboxylic acid (III), which was subsequently esterified by means of MeOH and H2SO4. Treatment of methyl ester (IV) with hydrazine gave hydrazide (V). This was finally condensed with 4-(dimethylamino)benzaldehyde (VI) to provide the title acyl hydrazone.

Drug Information Express,Drug R&D,Chemical Database,Patent Search.
Copyright © 2006-2026 Drug Future. All rights reserved.Contact Us