【药物名称】SR-3785
化学结构式(Chemical Structure):
参考文献No.34826
标题:Enantiomerically pure 2-aminopurine phosphonate nucleotide analogs as antiviral agents
作者:Reist, E.J.; Bradford, W.W.; Zaveri, N.T. (SRI International)
来源:US 5877166; WO 9741133
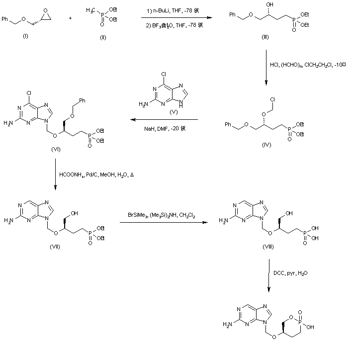
合成路线图解说明:

Regiospecific opening of the chiral 2-(benzyloxymethyl)oxirane (I) with lithiated diethyl methylphosphonate in the presence of boron trifluoride etherate afforded phosphonate (III). After conversion of (III) to the chloromethyl ether (IV), upon treatment with paraformaldehyde and HCl, condensation with the sodium salt of 2-amino-6-chloropurine (V) gave the nucleoside phosphonate (VI). Simultaneous hydrogenolysis of the chlorine atom and benzyl ether of (VI) by transfer hydrogenation in the presence of ammonium formate and Pd/C yielded (VII). Finally, the phosphonate ester groups of (VII) were cleaved by means of bromotrimethylsilane.

合成路线图解说明:

Regiospecific opening of the chiral 2-(benzyloxymethyl)oxirane (I) with lithiated diethyl methylphosphonate in the presence of boron trifluoride etherate afforded phosphonate (III). After conversion of (III) to the chloromethyl ether (IV), upon treatment with paraformaldehyde and HCl, condensation with the sodium salt of 2-amino-6-chloropurine (V) gave the nucleoside phosphonate (VI). Simultaneous hydrogenolysis of the chlorine atom and benzyl ether of (VI) by transfer hydrogenation in the presence of ammonium formate and Pd/C yielded (VII). The phosphonate ester groups of (VII) were then cleaved by means of bromotrimethylsilane to give phosphonic acid (VIII). Finally, intramolecular cyclization of (VIII) by treatment with DCC furnished the title compound.

参考文献No.579922
标题:Enantiomerically pure 2-aminopurine cyclic and acyclic nucleotide phosphonate analogs as antiviral agents aganist human cytomegalovirus
作者:Zaveri, N.; et al.
来源:219th ACS Natl Meet (March 26 2000, San Francisco) 2000,19Abst MEDI 129
合成路线图解说明:

Regiospecific opening of the chiral 2-(benzyloxymethyl)oxirane (I) with lithiated diethyl methylphosphonate in the presence of boron trifluoride etherate afforded phosphonate (III). After conversion of (III) to the chloromethyl ether (IV), upon treatment with paraformaldehyde and HCl, condensation with the sodium salt of 2-amino-6-chloropurine (V) gave the nucleoside phosphonate (VI). Simultaneous hydrogenolysis of the chlorine atom and benzyl ether of (VI) by transfer hydrogenation in the presence of ammonium formate and Pd/C yielded (VII). Finally, the phosphonate ester groups of (VII) were cleaved by means of bromotrimethylsilane.

合成路线图解说明:

Regiospecific opening of the chiral 2-(benzyloxymethyl)oxirane (I) with lithiated diethyl methylphosphonate in the presence of boron trifluoride etherate afforded phosphonate (III). After conversion of (III) to the chloromethyl ether (IV), upon treatment with paraformaldehyde and HCl, condensation with the sodium salt of 2-amino-6-chloropurine (V) gave the nucleoside phosphonate (VI). Simultaneous hydrogenolysis of the chlorine atom and benzyl ether of (VI) by transfer hydrogenation in the presence of ammonium formate and Pd/C yielded (VII). The phosphonate ester groups of (VII) were then cleaved by means of bromotrimethylsilane to give phosphonic acid (VIII). Finally, intramolecular cyclization of (VIII) by treatment with DCC furnished the title compound.

Drug Information Express,Drug R&D,Chemical Database,Patent Search.
Copyright © 2006-2026 Drug Future. All rights reserved.Contact Us