【药物名称】Emapunil, SX-5216, AC-5216
化学结构式(Chemical Structure):
参考文献No.39550
标题:2-Aryl-8-oxodihydropurine derivs., process for producing the same, medicinal compsns. containing the same, and intermediates thereof
作者:Matsumoto, K.; Kondo, K.; Furukawa, K.; Murata, T.; Oka, M. (Dainippon Pharmaceutical Co., Ltd.)
来源:EP 1036794; WO 9928320
合成路线图解说明:

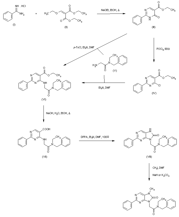
Pyrimidinone (III) was formed by condensation of benzamidine hydrochloride (I) with diethyl (ethoxymethylene)malonate (II). Subsequent reaction with glycinamide derivative (V) in the presence of p-tosyl chloride and Et3N afforded the aminopyrimidine (VI) (1). Alternatively, aminopyrimidine (VI) was prepared by chlorination of pyrimidinone (III) with POCl3, followed by displacement of the resulting chloropyrimidine (IV) with glycinamide (V) (2). Basic hydrolysis of the ethyl ester group of (VI) furnished pyrimidinecarboxylic acid (VII). This was then subjected to a Curtius rearrangement employing diphenyl phosphoryl azide (DPPA) to produce the 8-oxopurine system (VIII). Finally, N-alkylation of (VIII) with iodomethane gave rise to the title compound.

参考文献No.572925
标题:SX-5216, highly potent and selective mitochondrial benzodiazepine receptor ligand as a potential anxiolytic agent
作者:Masumoto, K.; et al.
来源:219th ACS Natl Meet (March 26 2000, San Francisco) 2000,Abst MEDI 113
合成路线图解说明:

Pyrimidinone (III) was formed by condensation of benzamidine hydrochloride (I) with diethyl (ethoxymethylene)malonate (II). Subsequent reaction with glycinamide derivative (V) in the presence of p-tosyl chloride and Et3N afforded the aminopyrimidine (VI) (1). Alternatively, aminopyrimidine (VI) was prepared by chlorination of pyrimidinone (III) with POCl3, followed by displacement of the resulting chloropyrimidine (IV) with glycinamide (V) (2). Basic hydrolysis of the ethyl ester group of (VI) furnished pyrimidinecarboxylic acid (VII). This was then subjected to a Curtius rearrangement employing diphenyl phosphoryl azide (DPPA) to produce the 8-oxopurine system (VIII). Finally, N-alkylation of (VIII) with iodomethane gave rise to the title compound.

Drug Information Express,Drug R&D,Chemical Database,Patent Search.
Copyright © 2006-2026 Drug Future. All rights reserved.Contact Us