【药物名称】Ro-31-7453
化学结构式(Chemical Structure):
参考文献No.11011
标题:Substd. pyrroles
作者:Davis, P.D.; Hill, C.H.; Lawton, G. (F. Hoffmann-La Roche AG)
来源:AU 8929658; EP 0328026; JP 1989233281; US 5057614
合成路线图解说明:

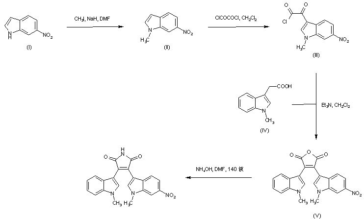
6-Nitroindole (I) was methylated using iodomethane and NaH and the resulting 1-methyl-6-nitroindole (II) was acylated with oxalyl chloride in dichloromethane to furnish the glyoxylyl chloride (III). Subsequent condensation of (III) with 1-methylindole-3-acetic acid (IV) in the presence of Et3N gave the bisindolylmaleic anhydride (V). This was finally converted into the target maleimide by heating with ammonia in aqueous DMF in a sealed vessel at 140 C.

参考文献No.534093
标题:Inhibitors of protein kinase C. 1. 2,3-Bisarylmaleimides
作者:Davis, P.D.; Hill, C.H.; Lawton, G.; Nixon, J.S.; Wilkinson, S.E.; Hurst, S.A.; Keech, E.; Turner, S.E.
来源:J Med Chem 1992,35(1),177
合成路线图解说明:

6-Nitroindole (I) was methylated using iodomethane and NaH and the resulting 1-methyl-6-nitroindole (II) was acylated with oxalyl chloride in dichloromethane to furnish the glyoxylyl chloride (III). Subsequent condensation of (III) with 1-methylindole-3-acetic acid (IV) in the presence of Et3N gave the bisindolylmaleic anhydride (V). This was finally converted into the target maleimide by heating with ammonia in aqueous DMF in a sealed vessel at 140 C.

Drug Information Express,Drug R&D,Chemical Database,Patent Search.
Copyright © 2006-2026 Drug Future. All rights reserved.Contact Us