【药物名称】TMG
化学结构式(Chemical Structure):
参考文献No.44081
标题:Chromanol glycoside and method for production thereof
作者:Murase, H.; Tsujii, T.; Kunieda, T. (CCI Corporation)
来源:US 5478812
合成路线图解说明:

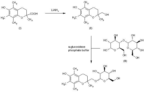
Reduction of carboxylic acid (Trolox) (I) with LiAlH4 in refluxing diethyl ether affords alcohol (TM) (II). Reaction of (II) in DMSO with maltose (III) and alpha-glucosidase in potassium phosphate buffer yields the final product.

参考文献No.585804
标题:Antioxidant activity of a novel vitamin E derivative, 2-(alpha-D-glucopyranosyl)methyl-2,5,7,8-tetramethylchroman-6-ol
作者:Murase, H.; et al.
来源:Free Radical Biol Med 1998,24(2),217
合成路线图解说明:

Reduction of carboxylic acid (Trolox) (I) with LiAlH4 in refluxing diethyl ether affords alcohol (TM) (II). Reaction of (II) in DMSO with maltose (III) and alpha-glucosidase in potassium phosphate buffer yields the final product.

参考文献No.585805
标题:Synthesis of a novel vitamin E derivative, 2-(alpha-D-glucopyranosyl)methyl-2,5,7,8-tetramethylchroman-6-ol, by alpha-glucosidase-catalyzed transglycosylation
作者:Murase, H.; Yamauchi, R.; Kato, K.; Kunieda, T.; Terao, J.
来源:Lipids 1997,32(1),73
合成路线图解说明:

Reduction of carboxylic acid (Trolox) (I) with LiAlH4 in refluxing diethyl ether affords alcohol (TM) (II). Reaction of (II) in DMSO with maltose (III) and alpha-glucosidase in potassium phosphate buffer yields the final product.

Drug Information Express,Drug R&D,Chemical Database,Patent Search.
Copyright © 2006-2026 Drug Future. All rights reserved.Contact Us