【药物名称】E-7389, B-1939, NSC-707389, ER-086526
化学结构式(Chemical Structure):
参考文献No.48650
标题:Macrocyclic analogs and methods of their use and preparation
作者:Littlefield, B.A.; Zheng, W.; Seletsky, B.M.; Yu, M.J.; Palme, M.H.; Towle, M.J. (Eisai Co., Ltd.)
来源:US 6214865; WO 9965894
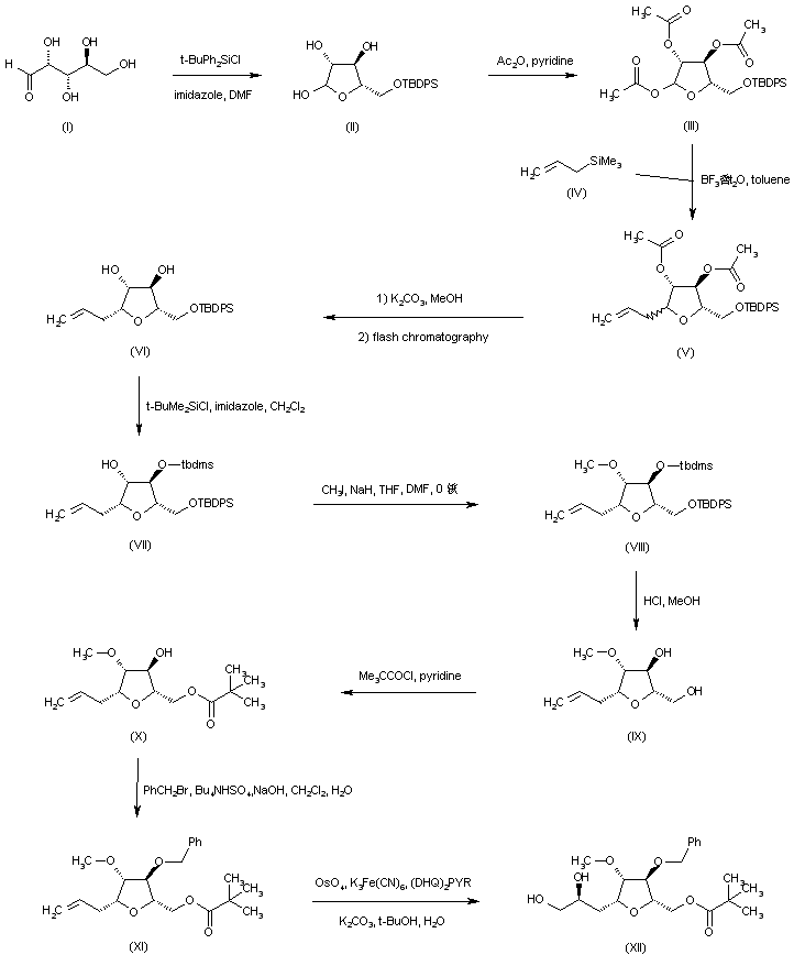
合成路线图解说明:

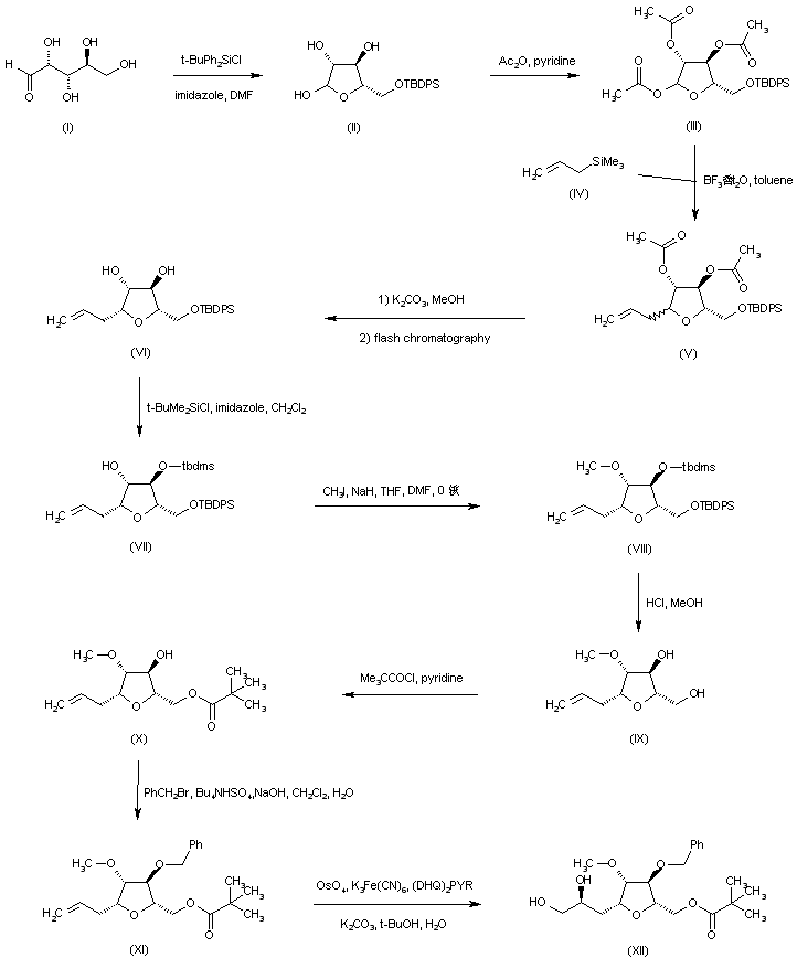
Treatment of L-arabinose (I) with tert-butyldiphenylsilyl chloride and imidazole provided the mono-silylated furanose (II). The free hydroxyl groups of (II) were subsequently acylated with Ac2O, yielding the triacetate (III). Introduction of an allyl group in (III) by using the silyl reagent (IV) and boron trifluoride produced the allyl derivative (V) as a diastereomeric mixture. After basic hydrolysis of the acetate esters of (V), the required diastereoisomer (VI) was isolated by means of flash chromatography. Regioselective silylation of diol (VI) with tert-butyldiphenylsilyl chloride furnished (VII). Following methylation of the remaining free hydroxyl, the resultant methyl ether (VIII) was desilylated with methanolic HCl, giving diol (IX). Protection of the primary alcohol of (IX) was accomplished by acylation with pivaloyl chloride in pyridine, yielding (X). The secondary alcohol group of (X) was then converted to the benzyl ether (XI). Subsequent Sharpless asymmetric dihydroxylation of the allyl moiety of (XI) produced glycol (XII).

合成路线图解说明:

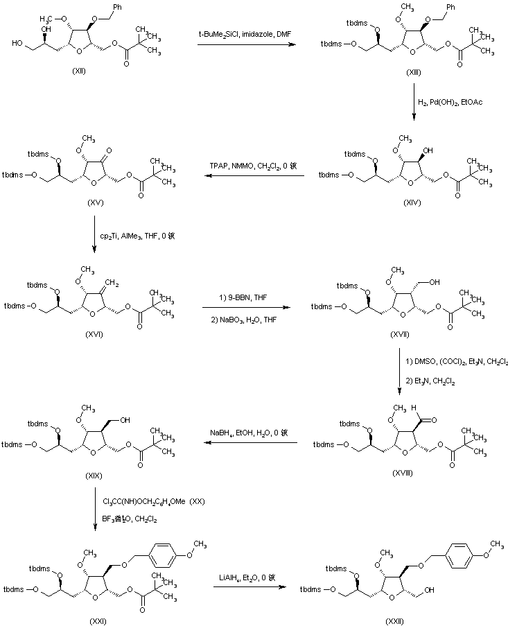
After silylation of diol (XII) to give (XIII), the O-benzyl group of (XIII) was removed by hydrogenolysis in the presence of Pearlman抯 catalyst, yielding alcohol (XIV). Oxidation of alcohol (XIV) to the corresponding ketone (XV) was carried out by means of N-methylmorpholine-N-oxide in the presence of a catalytic amount of tetrapropylammonium perruthenate (TPAP). Ketone (XV) was then converted to the methylene derivative (XVI) by treatment with Tebbe's reagent, generated from bis(cyclopentadienyl)titanium and trimethylaluminum. Olefin (XVI) hydroboration by means of 9-borabicyclononane, followed by oxidative work-up with sodium perborate, provided the primary alcohol (XVII) as the undesired diastereoisomer. Configuration of alcohol (XVII) was inverted via Swern oxidation to the corresponding aldehyde, which was epimerized to (XVIII) under basic conditions. Further, aldehyde (XVIII) reduction with NaBH4 at 0 C generated alcohol (XIX). This was protected as the methoxybenzyl ether (XXI) by condensation with p-methoxybenzyl trichloroacetimidate (XX). The pivaloyl ester of (XXI) was then removed by reductive cleavage with LiAlH4, affording alcohol (XXII).

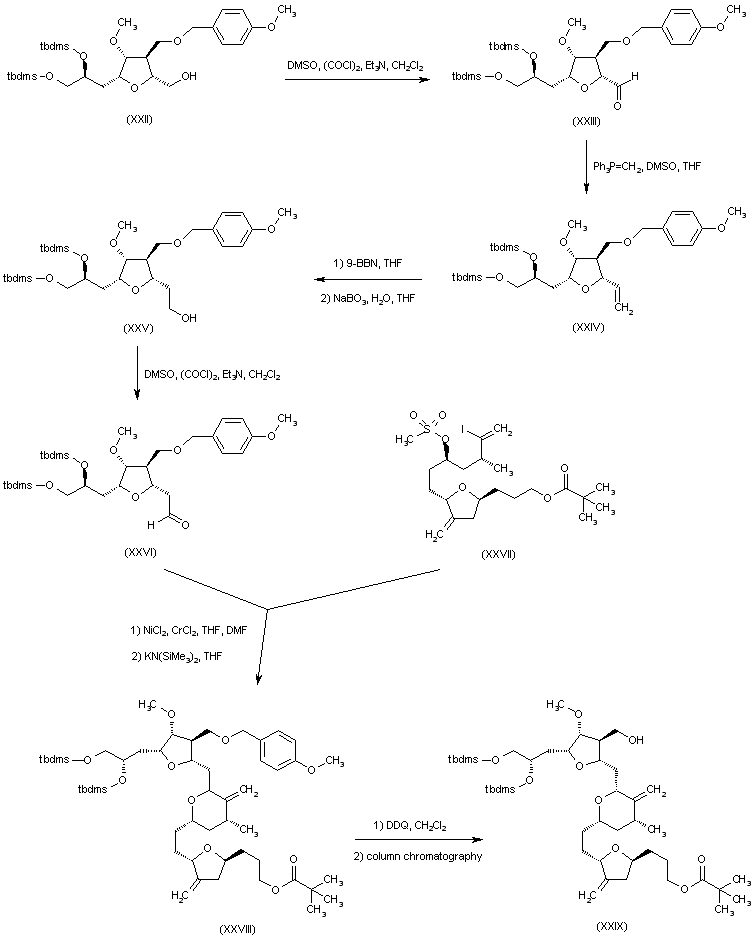
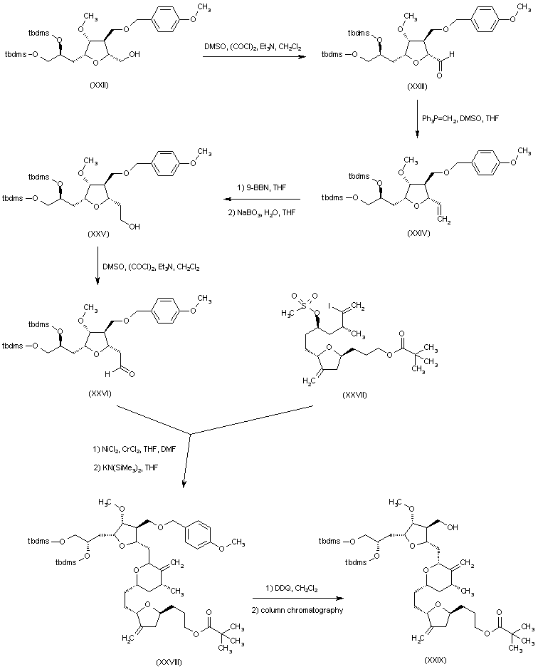
合成路线图解说明:

Homologation of alcohol (XXII) was effected by Swern oxidation to aldehyde (XXIII), which was then converted to the vinyl derivative (XXIV) by Wittig reaction with methylene triphenylphosphorane. Hydroboration of olefin (XXIV), followed by oxidative work-up, furnished alcohol (XXV). This was subjected to a further Swern oxidation to aldehyde (XXVI). Coupling of aldehyde (XXVI) with the known vinyl iodide (XXVII) produced a mixture of pyran derivative (XXVIII) and some uncyclized intermediate. Cyclization to (XXVIII) was completed by subsequent treatment of the reaction mixture with potassium hexamethyldisilazide. The p-methoxybenzyl protecting group of (XXVIII) was removed by oxidative treatment with DDQ. The desired diastereomer (XXIX) was then isolated by column chromatography.

合成路线图解说明:

Alcohol (XXIX) was converted to the corresponding tosylate (XXX) employing p-toluenesulfonyl chloride and pyridine. Replacement of the pivaloyl protecting group of (XXX) for a mono-methoxytrityl group, yielding (XXXII), was effected by reductive cleavage of the pivaloyl ester of (XXX) and then treatment of alcohol (XXXI) with methoxytrityl chloride. Displacement of the tosylate group of (XXXII) by NaI in refluxing acetone provided the alkyl iodide (XXXIII).

合成路线图解说明:

The aldehyde building block (XXXV) was obtained by DIBAL reduction of the previously described methyl ester (XXXIV). Lithiation of alkyl iodide (XXXIII) by means of tert-BuLi and then addition to aldehyde (XXXV) furnished the carbinol adduct (XXXVI). The methoxytrityl protecting group of (XXXVI) was then removed by acidic treatment, yielding (XXXVII). Oxidation of both free hydroxyl groups of (XXXVII) with Dess-Martin periodinane reagent gave rise to the keto aldehyde (XXXVIII).

合成路线图解说明:

An alternative, more convenient preparation of intermediate (XXXVIII) from (XXIX) was also reported. Activation of alcohol (XXIX) as the triflate (XXXIX) by means of trifluoromethanesulfonic anhydride, followed by condensation with thiophenol, gave the phenyl thioether (XL). This was oxidized to sulfone (XLI) using N-methylmorpholine-N-oxide in the presence of TPAP. The pivaloyl protecting group of (XLI) was reductively cleaved with DIBAL, giving (XLII). The lithium anion generated from sulfone (XLII) in the presence of n-BuLi was then condensed with aldehyde (XXXV) to furnish the carbinol adduct (XLIII).

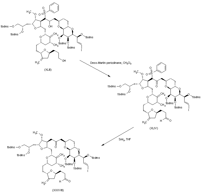
合成路线图解说明:

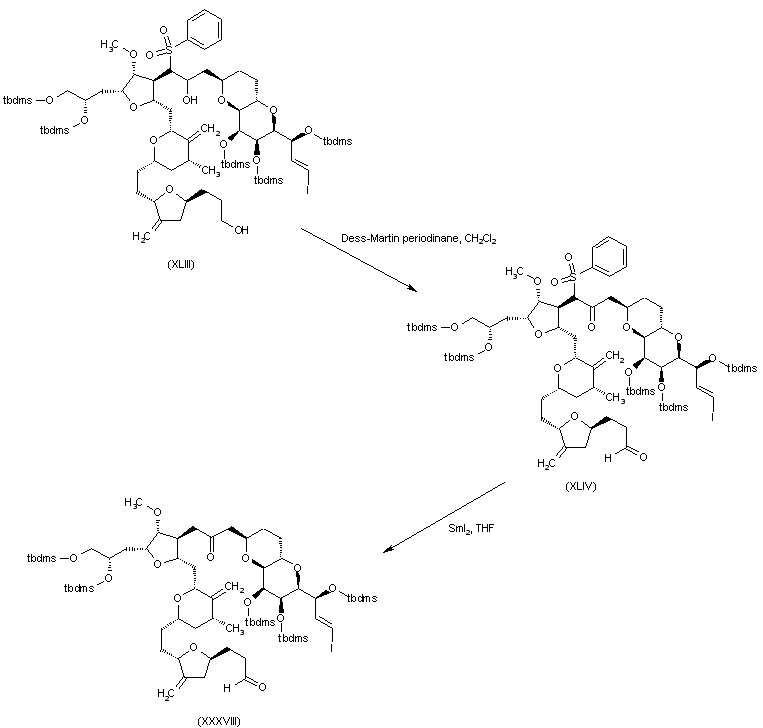
Dess-Martin oxidation of both alcohol functions of (XLIII) yielded the keto sulfone (XLIV). Reductive cleavage of the phenylsulfonyl group (XLIV) to afford (XXXVIII) was carried out by means of an in situ-generated SmI2 solution in THF.

合成路线图解说明:

Cyclization between the aldehyde and vinyl iodide moieties of (XXXVIII) was achieved by NiCl2/CrCl2-promoted intramolecular condensation. The resulting macrocyclic alcohol (XLV) was then oxidized to ketone (XLVI) with Dess-Martin periodinane reagent. Deprotection of (XLVI) with tetrabutylammonium fluoride furnished the fully desilylated compound (XLVII). The final cyclization between hydroxyl groups and the unsaturated ketone group of (XLVII) under acidic conditions gave rise to the title compound.

合成路线图解说明:

Treatment of L-arabinose (I) with tert-butyldiphenylsilyl chloride and imidazole provided the mono-silylated furanose (II). The free hydroxyl groups of (II) were subsequently acylated with Ac2O, yielding the triacetate (III). Introduction of an allyl group in (III) by using the silyl reagent (IV) and boron trifluoride produced the allyl derivative (V) as a diastereomeric mixture. After basic hydrolysis of the acetate esters of (V), the required diastereoisomer (VI) was isolated by means of flash chromatography. Regioselective silylation of diol (VI) with tert-butyldiphenylsilyl chloride furnished (VII). Following methylation of the remaining free hydroxyl group of (VII), the resultant methyl ether (VIII) was desilylated with methanolic HCl, giving diol (IX). Protection of the primary alcohol of (IX) was accomplished by acylation with pivaloyl chloride in pyridine, yielding (X). The secondary alcohol group of (X) was then converted to the benzyl ether (XI). Subsequent Sharpless asymmetric dihydroxylation of the allyl moiety of (XI) produced glycol (XII).

合成路线图解说明:

After silylation of diol (XII) to yield (XIII), the O-benzyl group of (XIII) was removed by hydrogenolysis in the presence of Pearlman抯 catalyst, yielding alcohol (XIV). Oxidation of alcohol (XIV) to the corresponding ketone (XV) was carried out by means of N-methylmorpholine-N-oxide in the presence of a catalytic amount of tetrapropylammonium perruthenate (TPAP). Ketone (XV) was then converted to the methylene derivative (XVI) by treatment with Tebbe抯 reagent, generated from bis(cyclopentadienyl)titanium and trimethylaluminum. Olefin (XVI) hydroboration by means of 9-borabicyclononane, followed by oxidative work-up with sodium perborate, provided the primary alcohol (XVII) as the undesired diastereoisomer. Configuration of alcohol (XVII) was inverted via Swern oxidation to the corresponding aldehyde, which was epimerized to (XVIII) under basic conditions. Further, aldehyde (XVIII) reduction with NaBH4 at 0 C generated alcohol (XIX). This was protected as the methoxybenzyl ether (XXI) by condensation with p-methoxybenzyl trichloroacetimidate (XX). The pivaloyl ester (XXI) was then removed by reductive cleavage with LiAlH4, affording alcohol (XXII).

合成路线图解说明:

Homologation of alcohol (XXII) was effected by Swern oxidation to aldehyde (XXIII), which was then converted to the vinyl derivative (XXIV) by Wittig reaction with methylene triphenylphosphorane. Hydroboration of olefin (XXIV), followed by oxidative work-up, furnished alcohol (XXV). This was subjected to a further Swern oxidation to aldehyde (XXVI). Coupling of aldehyde (XXVI) with the known vinyl iodide (XXVII) produced a mixture of pyran derivative (XXVIII) and some uncyclized intermediate. Cyclization to (XXVIII) was completed by subsequent treatment of the reaction mixture with potassium hexamethyldisilazide. The p-methoxybenzyl protecting group of (XXVIII) was removed by oxidative treatment with DDQ. The desired diastereomer (XXIX) was then isolated by column chromatography.

合成路线图解说明:

Alcohol (XXIX) was converted to the corresponding tosylate (XXX) employing p-toluenesulfonyl chloride and pyridine. Replacement of the pivaloyl protecting group of (XXX) for a mono-methoxytrityl group, yielding (XXXII), was effected by reductive cleavage of the pivaloyl ester of (XXX) and then treatment of alcohol (XXXI) with methoxytrityl chloride. Displacement of the tosylate group of (XXXII) by NaI in refluxing acetone provided the alkyl iodide (XXXIII).

合成路线图解说明:

The aldehyde building block (XXXV) was obtained by DIBAL reduction of the previously described methyl ester (XXXIV). Lithiation of alkyl iodide (XXXIII) by means of tert-BuLi and then addition to aldehyde (XXXV) furnished the carbinol adduct (XXXVI). The methoxytrityl protecting group of (XXXVI) was then removed by acidic treatment, yielding (XXXVII). Oxidation of both free hydroxyl groups of (XXXVII) with Dess-Martin periodinane reagent gave rise to the keto aldehyde (XXXVIII).

合成路线图解说明:

An alternative, more convenient preparation of intermediate (XXXVIII) from (XXIX) was also reported. Activation of alcohol (XXIX) as the triflate (XXXIX) by means of trifluoromethanesulfonic anhydride, followed by condensation with thiophenol, gave the phenyl thioether (XL). This was oxidized to sulfone (XLI) using N-methylmorpholine-N-oxide in the presence of TPAP. The pivaloyl protecting group of (XLI) was reductively cleaved with DIBAL giving (XLII). The lithium anion generated from sulfone (XLII) in the presence of n-BuLi was then condensed with aldehyde (XXXV) to furnish the carbinol adduct (XLIII).

合成路线图解说明:

Dess-Martin oxidation of both alcohol functions of (XLIII) yielded the keto sulfone (XLIV). Reductive cleavage of the phenylsulfonyl group of (XLIV) to afford (XXXVIII) was carried out by means of an in situ-generated SmI2 solution in THF.

合成路线图解说明:

Cyclization between the aldehyde and vinyl iodide moieties of (XXXVIII) was achieved by NiCl2/CrCl2-promoted intramolecular condensation. The resulting macrocyclic alcohol (XLV) was then oxidized to ketone (XLVI) with Dess-Martin periodinane reagent. Deprotection of (XLVI) with tetrabutylammonium fluoride furnished the fully desilylated compound (XLVII). Then, cyclization between hydroxyl groups and the unsaturated ketone groups of (XLVII) under acidic conditions gave rise to the polycyclic compound (XLVIII).

合成路线图解说明:

The primary hydroxyl group of diol (XLVIII) was selectively mesylated with methanesulfonyl chloride and collidine at low temperature. The resultant mesylate (IL) was then condensed with tetrabutylammonium azide in hot DMF to produce the alkyl azide (L). The azide function of (L) was finally reduced to the corresponding primary amine by treatment with trimethylphosphine in moist THF.

参考文献No.668218
标题:Synthetic studies on halichondrins: A practical synthesis of the C.1-C.13 segment
作者:Kishi, Y.; Stamos, D.P.
来源:Tetrahedron Lett 1996,37(48),8643
合成路线图解说明:

The previously referenced vinyl iodide intermediate (XXXIV) was obtained as follows: The reaction of L-mannonic acid gamma-lactone (XLVIII) with cyclohexanone (XLIX) by means of H2SO4 in toluene gave the bis-cyclohexylidene ketal (L), which was reduced with DIBAL in dichloromethane to yield the lactol (LI). The condensation of (LI) with the phosphonium chloride (LII) by means of t-Bu-OK in refluxing THF afforded the vinyl ether (LIII), which was hydroxylated with OsO4 and dihydroquinidine-4-chlorobenzoate as chiral ligand and acylated with acetic anhydride and pyridine to provide the diacetate (LIV). The condensation of (LIV) with the functionalized allyl silane (LV) by means of BF3/Et2O in acetonitrile gave the adduct (LVI), which was submitted to cyclization by means of Triton B(OMe) in THF/methyl acetate to yield the perhydropyrano[3,2-b]pyran derivative (LVII). The selective hydrolysis of the exocyclic cyclohexylidene ketal of (LVII) with hot AcOH/water afforded the diol (LVIII), which by oxidative cleavage with NaIO4 in THF afforded the aldehyde (LIX). The coupling of (LIX) with the silylated vinyl iodide (LX), catalyzed by NiCl2 and CrCl2 in DMSO, gave the silylated allyl alcohol (LXI), which was submitted to cleavage of the cyclohexylidene ketal by means of AcOH/TFA to yield the trihydroxy compound (LXII). The protection of the three OH groups of (LXII) with Tbdms-OTf and lutidine in dichloromethane afforded the tris-Tbdms protected vinyl silane (LXIII), which was finally iodinated with N-iodosuccinimide (NIS) in acetonitrile/chloroacetonitrile to provide the target vinyl iodide intermediate (XXXIV).

合成路线图解说明:

The previously referenced vinyl iodide intermediate (XXXIV) was obtained as follows: The reaction of L-mannonic acid gamma-lactone (LI) with cyclohexanone (LII) by means of H2SO4 in toluene gave the bis-cyclohexylidene ketal (LIII), which was reduced with DIBAL in dichloromethane to yield the lactol (LIV). The condensation of (LIV) with the phosphonium chloride (LV) by means of t-Bu-OK in refluxing THF afforded the vinyl ether (LVI), which was hydroxylated with OsO4 and dihydroquinidine-4-chlorobenzoate as chiral ligand and acylated with acetic anhydride and pyridine to provide the diacetate (LVII). The condensation of (LVII) with the functionalized allyl silane (LVIII) by means of BF3/Et2O in acetonitrile gave the adduct (LIX), which was submitted to cyclization by means of Triton B(OMe) in THF/methyl acetate to yield the perhydropyrano[3,2-b]pyran derivative (LX). The selective hydrolysis of the exocyclic cyclohexylidene ketal of (LX) with hot HOAc/water afforded the diol (LXI), which by oxidative cleavage with NaIO4 in THF afforded the aldehyde (LXII). The coupling of (LXII) with the silylated vinyl iodide (LXIII), catalyzed by NiCl2 and CrCl2 in DMSO, gave the silylated allyl alcohol (LXIV), which was submitted to cleavage of the cyclohexylidene ketal by means of HOAc/TFA to yield the trihydroxy compound (LXV). The protection of the three OH groups of (LXV) with Tbdms-OTf and lutidine in dichloromethane afforded the tris-Tbdms protected vinyl silane (LXVI), which was finally iodinated with N-iodosuccinimide (NIS) in acetonitrile/chloroacetonitrile to provide the target vinyl iodide intermediate (XXXIV).

Drug Information Express,Drug R&D,Chemical Database,Patent Search.
Copyright © 2006-2026 Drug Future. All rights reserved.Contact Us