【药物名称】BMS-214662
化学结构式(Chemical Structure):
参考文献No.34108
标题:Inhibitors of farnesyl protein transferase
作者:Ding, C.Z.; Hunt, J.T.; Kim, S.-H.; Mitt, T.; Bhide, R.; Leftheris, K. (Bristol-Myers Squibb Co.)
来源:EP 0892797; JP 2000502356; US 6011029; WO 9730992
合成路线图解说明:

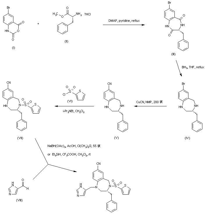
The cyclization between 5-bromoisatoic anhydride (I) and D-phenylalanine methyl ester (II) in the presence of DMAP in refluxing pyridine produced the benzodiazepindione (III), which was further reduced to the benzodiazepine (IV) by treatment with borane in THF. Displacement of the bromide group of (IV) with cuprous cyanide in hot N-methylpyrrolidone furnished nitrile (V). Acylation of the aliphatic nitrogen of (V) with 2-thienylsulfonyl chloride (VI) gave rise to sulfonamide (VII). Finally, the title compound was obtained by reductive alkylation of (VII) with 4-formylimidazole (VIII) by means of either treatment with sodium triacetoxyborohydride or, in an improved procedure, using triethylsilane in the presence of trifluoroacetic acid.

参考文献No.594993
标题:Discovery of (R)-7-cyano-2,3,4,5-tetrahydro-1-(1-H-imidazol-4-ylmethyl)-3-(phenylmethyl)-4-(2-thienylsulfonyl)-1H-1,4-benzodiazepine (BMS-214662), a farnesyltransferase inhibitor with potent preclinical antitumor activity
作者:Batorsky, R.; Hunt, J.T.; Ding, C.Z.; et al.
来源:J Med Chem 2000,43(20),3557
合成路线图解说明:

The cyclization between 5-bromoisatoic anhydride (I) and D-phenylalanine methyl ester (II) in the presence of DMAP in refluxing pyridine produced the benzodiazepindione (III), which was further reduced to the benzodiazepine (IV) by treatment with borane in THF. Displacement of the bromide group of (IV) with cuprous cyanide in hot N-methylpyrrolidone furnished nitrile (V). Acylation of the aliphatic nitrogen of (V) with 2-thienylsulfonyl chloride (VI) gave rise to sulfonamide (VII). Finally, the title compound was obtained by reductive alkylation of (VII) with 4-formylimidazole (VIII) by means of either treatment with sodium triacetoxyborohydride or, in an improved procedure, using triethylsilane in the presence of trifluoroacetic acid.

参考文献No.609648
标题:Novel triethylsilane mediated reductive N-alkylation of amines: Improved synthesis of 1-(4-imidazolyl)methyl-4-sulfonylbenzodiazepines new farnesyltransferase inhibitors
作者:Chen, B.C.; et al.
来源:Tetrahedron Lett 2001,42(7),1245
合成路线图解说明:

The cyclization between 5-bromoisatoic anhydride (I) and D-phenylalanine methyl ester (II) in the presence of DMAP in refluxing pyridine produced the benzodiazepindione (III), which was further reduced to the benzodiazepine (IV) by treatment with borane in THF. Displacement of the bromide group of (IV) with cuprous cyanide in hot N-methylpyrrolidone furnished nitrile (V). Acylation of the aliphatic nitrogen of (V) with 2-thienylsulfonyl chloride (VI) gave rise to sulfonamide (VII). Finally, the title compound was obtained by reductive alkylation of (VII) with 4-formylimidazole (VIII) by means of either treatment with sodium triacetoxyborohydride or, in an improved procedure, using triethylsilane in the presence of trifluoroacetic acid.

Drug Information Express,Drug R&D,Chemical Database,Patent Search.
Copyright © 2006-2026 Drug Future. All rights reserved.Contact Us