【药物名称】TAX-258, XRP-6258, RPR-116258A, TXD-258
化学结构式(Chemical Structure):
参考文献No.31198
标题:Novel taxoids, preparation thereof and pharmaceutical compsns. containing same
作者:Bouchard, H.; Bourzat, J.-D.; Commer鏾n, A. (Aventis Pharma SA)
来源:EP 0817779; EP 0817780; FR 2732340; JP 1999500141; JP 1999502531; US 5889043; US 6372780; US 6387946; WO 9630355; WO 9630356
合成路线图解说明:

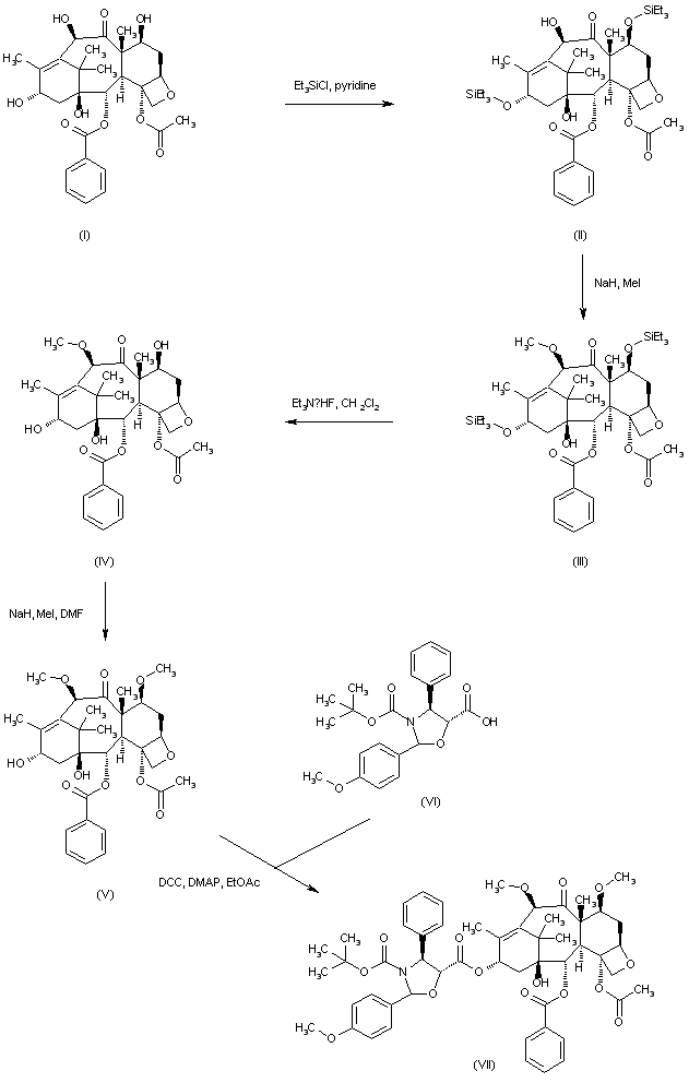
Protection of 10-deacetylbaccatin III (I) with chlorotriethylsilane in pyridine affords the 7,13-bis-silyl ether (II), which upon alkylation by means of iodomethane and NaH provides the 10-methoxy derivative (III). After desilylation of (III) by means of a hydrogen fluoride-triethylamine complex, the deprotected triol (IV) is methylated with iodomethane and NaH to yield the 7,10-dimethyl ether (V). Esterification of (V) with the oxazolidinecarboxylic acid (VI) in the presence of DCC/DMAP furnishes (VII). (1,2)

合成路线图解说明:

Selective hydrolysis of the oxazolidine moiety of (VII) under smooth acidic conditions gives yields the hydroxy amino ester derivative. (1,2)

参考文献No.56065
标题:Use of taxoid derivs.
作者:Bissery, M.-C. (Aventis Pharma SA)
来源:EP 1020188; EP 1140064; US 2002082291; US 6403634; WO 0041482
合成路线图解说明:

Protection of 10-deacetylbaccatin III (I) with chlorotriethylsilane in pyridine affords the 7,13-bis-silyl ether (II), which upon alkylation by means of iodomethane and NaH provides the 10-methoxy derivative (III). After desilylation of (III) by means of a hydrogen fluoride-triethylamine complex, the deprotected triol (IV) is methylated with iodomethane and NaH to yield the 7,10-dimethyl ether (V). Esterification of (V) with the oxazolidinecarboxylic acid (VI) in the presence of DCC/DMAP furnishes (VII). (1,2)

合成路线图解说明:

Selective hydrolysis of the oxazolidine moiety of (VII) under smooth acidic conditions gives yields the hydroxy amino ester derivative. (1,2)

Drug Information Express,Drug R&D,Chemical Database,Patent Search.
Copyright © 2006-2026 Drug Future. All rights reserved.Contact Us