【药物名称】SM-31900
化学结构式(Chemical Structure):
参考文献No.45086
标题:Tricyclic indole-2-carboxylic acid cpd. used as NMDA receptor antagonist
作者:Katayama, S.; Kishimoto, H.; Ae, N.; Nagata, R. (Sumitomo Pharmaceuticals Co., Ltd.)
来源:WO 0056711
合成路线图解说明:

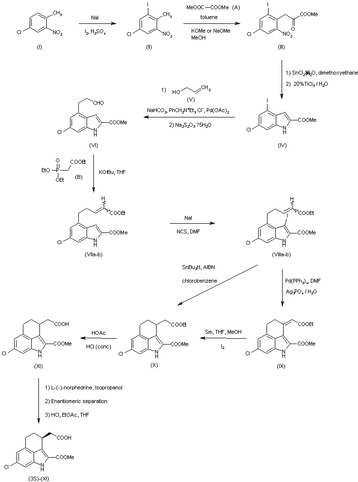
Synthesis of intermediate (3S)-(XI): Iodination of 4-chloro-2-nitrotoluene (I) with NaI, I2 and H2SO4 yields (II), which is then treated with dimethyl oxalate (A) in toluene in presence of KOMe or alternatively NaOMe, in MeOH to afford (III). Cyclization of (III) is performed by a first treatment with SnCl2 in dimethoxyethane followed by TiCl3/H2O to provide indole (IV), which is converted into (VI) by reaction with alcohol (V) in presence of NaHCO3, benzyltriethyl ammonium chloride and Pd(OAc)2, followed by a treatment with sodium thiosulfate. The reaction of aldehyde (VI) with KOtBu and triethyl phosphonoacetate (B) in THF yields ethyl ester (VIIa-b), which is then converted into iodo derivative (VIIIa-b) by means of NaI and NCS in DMF. Cyclization of (VIIIa-b) by treatment with Pd(PPh3)4 in DMF and Ag3PO4/H2O affords tetrahydrobenzindole (IX), which is reduced by means of Sm, and I2 in MeOH/THF to give (X). Alternatively (X) is obtained by simultaneous cyclization and reduction of (VIIIa-b) by treatment with SnBu3H and AIBN in chlorobenzene. Finally ethyl ester (X) is selectively hydrolyzed with HCl in HOAc to provide (XI) in its racemic form. Enantiomer (3S)-(XI) can be isolated by separation of the corresponding diasteromers obtained by reaction of (XI) with L-(-) norphedrine in isopropanol followed by hydrolysis with HCl in EtOAc and THF.

合成路线图解说明:

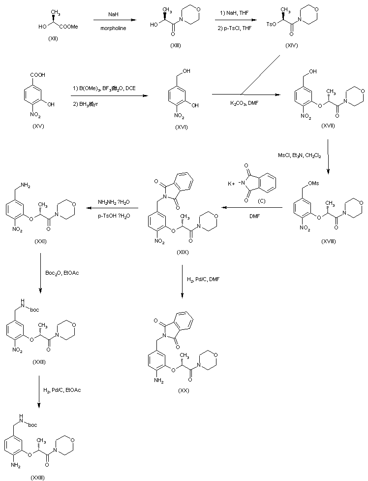
Synthesis of intermediates (XX) and (XXIII): Coupling of methyl L-lactate (XII) with morpholine in presence of NaH yields amide (XIII) which is tosylated by means of NaH and p-TsCl in THF to afford (XIV). Reduction of carboxylic acid (XV) in DCE with B(OCH3)3, boron trifluoride diethyl etherate and BH3穚yr complex provides alcohol (XVI) which is then condensed with (XIV) in presence of K2CO3 in DMF to yield (XVII). Mesylation of (XVII) with MsCl in presence of Et3N in CH2Cl2 affords (XVIII), which reacts with potassium phthalimide (C) in DMF to give (XIX). Hydrogenation of phthalimide (XIX) with H2 over Pd/C in DMF provides derivative (XX). The treatment of (XIX) with NH2NH2 and p-TsOH gives amine (XXI), which is protected with di-t-butyl-dicarbonate to yield (XXII). Finally (XXIII) is obtained by reduction of the nitro moiety of (XXII) with H2 over Pd/C in EtOAc.

合成路线图解说明:

Derivative (S)-(XI) is first treated with oxalyl chloride in EtOAc/DMF and coupled with amine (XXIII) in EtOAc in presence of Et3N providing (XXIV). Alternatively (XXIV) can be obtained as follows: reaction of (S)-(XI) with ethyl chloroformate in THF in presence of Et3N. followed by condensation with (XX) in DMF yields phthalimide (XXV). Derivative (XXIV) is then obtained by removal of the phthalate moiety with NH2NH2 and protection with di-t-butyl-dicarbonate. Hydrolysis of (XXIV) with LiOH in THF/MeOH affords carboxylic acid (XXVI) and finally the amine group of (XXVI) is deprotected with HCl in HOAc.

Drug Information Express,Drug R&D,Chemical Database,Patent Search.
Copyright © 2006-2026 Drug Future. All rights reserved.Contact Us