【药物名称】GW-4459
化学结构式(Chemical Structure):
参考文献No.42444
标题:Formamide cpds. as therapeutic agents
作者:Wiethe, R.W.; Andrews, R.C.; Rabinowitz, M.H.; Musso, D.L.; Chan, J.H.; McDougald, D.L.; Gaul, M.D.; Cowan, D.J.; Stanford, J.B.; Babacz, D.G.; Andersen, M.W. (Glaxo Group Ltd.)
来源:US 6191150; WO 0012466
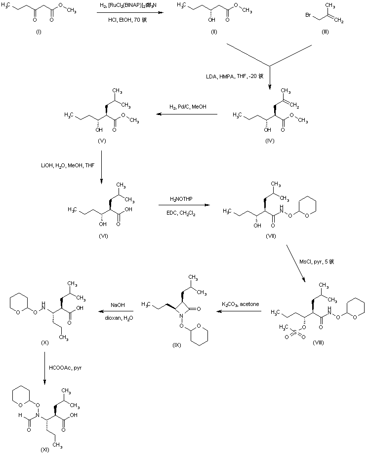
合成路线图解说明:

Hydrogenation of methyl butyrylacetate (I) in the presence of the chiral catalyst [RuCl2(BINAP)]2.Et3N furnished the (R)-hydroxyester (II). Alkylation of (II) with 3-bromo-2-methyl-1-propene (III) in the presence of lithium diisopropylamide gave the isobutenyl derivative (IV), which was further hydrogenated to (V) in the presence of Pd/C. After basic hydrolysis of the methyl ester of (V), the resulting carboxylic acid (VI) was coupled with 2-tetrahydropyranyloxyamine by means of EDC to provide the tetrahydropyranyl-protected hydroxamic acid (VII). Mesylation of the free hydroxyl group of (VII) to give (VIII), followed by its cyclization in the presence of potassium carbonate, gave rise to the azetidinone (IX). Opening of the lactam ring of (IX) with NaOH afforded the protected hydroxyamino acid (X). Then, formylation of the amino group with formic acetic anhydride in pyridine provided intermediate (XI).

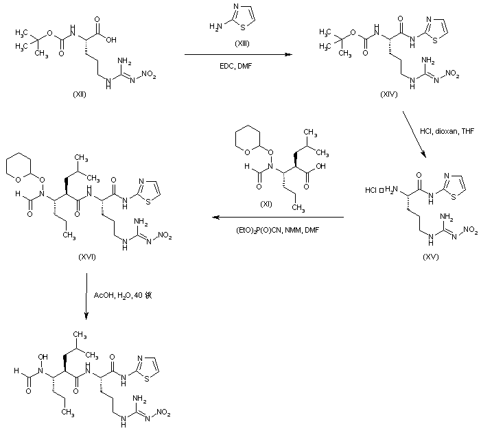
合成路线图解说明:

Coupling of N(alpha)-Boc-N(G)-nitro-L-arginine (XII) with 2-aminothiazole (XIII) gave amide (XIV). After cleavage of the Boc group of (XIV) with HCl, the resulting amine (XV) was coupled with the intermediate carboxylic acid (XI) using diethyl cyanophosphonate to afford adduct (XVI). The terahydropyranyl group of (XVI) was finally deprotected by treatment with aqueous acetic acid.

参考文献No.641995
标题:Design of selective and soluble inhibitors of tumor necrosis factor-alpha converting enzyme (TACE)
作者:Rabinowitz, M.H.; Andrews, R.C.; Becherer, J.D.; Bickett, D.M.; Bubacz, D.G.; Conway, J.G.; Cowan, D.J.; Gaul, M.; Glennon, K.; Lambert, M.H.; Leesnitzer, M.A.; McDougald, D.L.; Moss, M.L.; Musso, D.L.; Rizzolio, M.C.
来源:J Med Chem 2001,44(24),4252
合成路线图解说明:

The alkylation of 3(R)-hydroxyhexanoic acid methyl ester (I) with isobutyl bromide (II) and LDA in THF gives 3(R)-hydroxy-2(R)-isobutylhexanoic acid methyl ester (III), which is hydrolyzed with LiOH in THF/MeOH/water to yield the corresponding lithium salt (IV). The condensation of (IV) with O-tetrahydropyranyl-hydroxylamine (V) by means of DCC in ethyl acetate affords the protected hydroxamic acid (VI), which is treated with Ms-Cl and pyridine to provide the mesylate (VII). The cyclization of (VII) by means of K2CO3 in refluxing acetone gives the chiral azetidinone (VIII), which is opened by means of NaOH in dioxane/water, yielding the carboxylic acid (IX). The formylation of the NH group of (IX) with acetic formic anhydride and pyridine in dichloromethane affords the intermediate (X). The condensation of the N-protected nitro arginine (XI) with 2-aminothiazole (XII) by means of EDC in DMF gives the argininamide (XIII), which is deprotected by means of HCl in dioxane to yield the intermediate (XIV). Condensation of (XIV) with (X) by means of diethyl phosphorylcyanide (DEPC) and NMM in DMF gives the protected dipeptide (XV), which is treated with AcOH in warm water to yield the target dipeptide.

Drug Information Express,Drug R&D,Chemical Database,Patent Search.
Copyright © 2006-2026 Drug Future. All rights reserved.Contact Us