【药物名称】SV-030
化学结构式(Chemical Structure):
参考文献No.38211
标题:Imidazopyrimidines and imidazopyridines for the treatment of neurological disorders
作者:Beck, J.P.; Arvanitis, A.G.; Bakthavatchalam, R.; Wilde, R.G. (DuPont Pharmaceuticals Co.)
来源:EP 0994877; WO 9901454
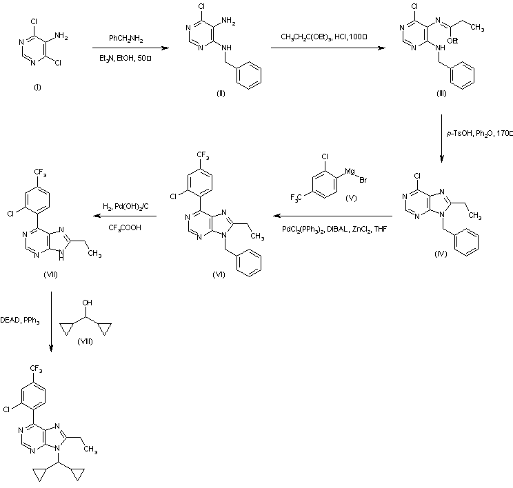
合成路线图解说明:

Condensation of 5-amino-4,6-dichloropyrimidine (I) with benzylamine afforded diamine (III). Subsequent reaction of (III) with triethyl orthopropionate in the presence of HCl produced imidate (IV), which was cyclized to purine (V) upon heating in diphenyl ether in the presence of p-toluenesulfonic acid. Palladium catalyzed coupling of (IV) with the organozinc derivative generated from Grignard reagent (V) and ZnCl2 produced the corresponding 6-aryl purine (VI). The N-benzyl group of (VI) was then deprotected by hydrogenation in the presence of palladium catalyst and trifluoroacetic acid to furnish (VII). Finally, condensation with dicyclopropylcarbinol (VIII) under Mitsunobu conditions yielded the title compound.

Drug Information Express,Drug R&D,Chemical Database,Patent Search.
Copyright © 2006-2026 Drug Future. All rights reserved.Contact Us