【药物名称】Org-39430
化学结构式(Chemical Structure):
参考文献No.56924
标题:Thrombin inhibitors
作者:Adang, A.E.P.; Peters, J.A.M.; Van Boeckel, C.A.A.; Rewinkel, J.B.M. (Akzo Nobel N.V.)
来源:WO 9807308
合成路线图解说明:

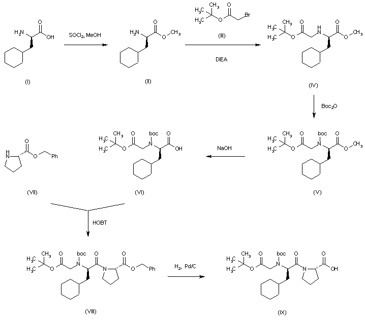
Synthesis of the dipeptide intermediate (IX): The esterification of D-cyclohexylalanine (I) by means of SOCl2 and methanol gives the methyl ester (II), which is condensed with tert-butyl bromoacetate (III) by means of DIEA in acetonitrile to yield the N-substituted cyclohexylalanine (IV). The reaction of (IV) with Boc2O and DIEA in DMF affords the N-protected compound (V), which is hydrolyzed with NaOH in dioxane/water to provide the free N-substituted cyclohexylalanine (VI). The condensation of (VI) with L-proline benzyl ester (VII) by means of HOBT and DCC in DMF gives the dipeptide (VIII), which is finally debenzylated by means of H2 over Pd/C in methanol to yield the target dipeptide intermediate (IX).

合成路线图解说明:

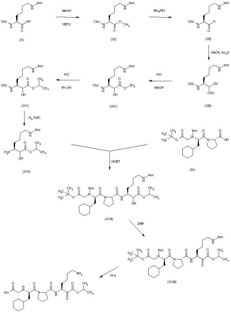
The esterification of N2-(benzyloxycarbonyl)-N6-(tert-butoxycarbonyl)-L-lysine (X) by means of BTU in dichloromethane/methanol gives the methyl ester (XI), which is reduced with iBu2AlH in dichloromethane to yield the corresponding aldehyde (XII). The reaction of (XII) with NaCN and Ac2O affords the acetylated cyanohydrin (XIII), which is hydrolyzed with HCl in ethyl ether/methanol to provide the alpha-hydroxyester (XIV). The trans-esterification of (XIV) with isopropanol and HCl gives the isopropyl ester (XV), which is N2 deprotected by means of H2 over Pd/C in DMF to yield the primary amine (XVI). The condensation of the lysine derivative (XVI) with the dipeptide intermediate (IX) by means of HOBT and DCC in DMF affords the tripeptide derivative (XVII), which is oxidized by means of DMP in dichloromethane to provide the alpha-oxo ester (XVIII). Finally, this compound is Boc-deprotected by means of TFA in dichloromethane to obtain the target alpha-oxo-tripeptide derivative.

参考文献No.693482
标题:Unique overlap in the prerequisites for thrombin inhibition and oral bioavailability resulting in potent oral antithrombotics
作者:Adang, A.E.P.; De Man, A.P.A.; Vogel, G.M.T.; Grootenhuis, P.D.J.; Smit, M.J.; Peters, C.A.M.; Visser, A.; Rewinkel, J.B.M.; van Dinther, T.; Lucas, H.; Kelder, J.; van Aelst, S.; Meuleman, D.G.; van Boeckel, C.A.A.
来源:J Med Chem 2002,45(20),4419
合成路线图解说明:

Synthesis of the dipeptide intermediate (IX): The esterification of D-cyclohexylalanine (I) by means of SOCl2 and methanol gives the methyl ester (II), which is condensed with tert-butyl bromoacetate (III) by means of DIEA in acetonitrile to yield the N-substituted cyclohexylalanine (IV). The reaction of (IV) with Boc2O and DIEA in DMF affords the N-protected compound (V), which is hydrolyzed with NaOH in dioxane/water to provide the free N-substituted cyclohexylalanine (VI). The condensation of (VI) with L-proline benzyl ester (VII) by means of HOBT and DCC in DMF gives the dipeptide (VIII), which is finally debenzylated by means of H2 over Pd/C in methanol to yield the target dipeptide intermediate (IX).

合成路线图解说明:

The esterification of N2-(benzyloxycarbonyl)-N6-(tert-butoxycarbonyl)-L-lysine (X) by means of BTU in dichloromethane/methanol gives the methyl ester (XI), which is reduced with iBu2AlH in dichloromethane to yield the corresponding aldehyde (XII). The reaction of (XII) with NaCN and Ac2O affords the acetylated cyanohydrin (XIII), which is hydrolyzed with HCl in ethyl ether/methanol to provide the alpha-hydroxyester (XIV). The trans-esterification of (XIV) with isopropanol and HCl gives the isopropyl ester (XV), which is N2 deprotected by means of H2 over Pd/C in DMF to yield the primary amine (XVI). The condensation of the lysine derivative (XVI) with the dipeptide intermediate (IX) by means of HOBT and DCC in DMF affords the tripeptide derivative (XVII), which is oxidized by means of DMP in dichloromethane to provide the alpha-oxo ester (XVIII). Finally, this compound is Boc-deprotected by means of TFA in dichloromethane to obtain the target alpha-oxo-tripeptide derivative.

Drug Information Express,Drug R&D,Chemical Database,Patent Search.
Copyright © 2006-2026 Drug Future. All rights reserved.Contact Us