【药物名称】FR-177995
化学结构式(Chemical Structure):
参考文献No.32877
标题:Benzimidazole derivs. and their use in the prevention and/or the treatment of bone diseases
作者:Oku, T.; Kawai, Y.; Yatabe, T.; Sato, S.; Yamazaki, H.; Kayakiri, N.; Yoshihara, K. (Fujisawa Pharmaceutical Co., Ltd.)
来源:EP 0863881; JP 1999513364; WO 9710219
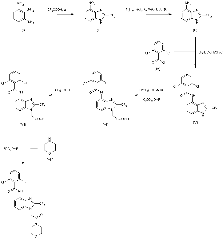
合成路线图解说明:

Condensation of 3-nitro-1,2-phenylenediamine (I) with trifluoroacetic acid provided benzimidazole (II). Reduction of the nitro group of (II) by means of hydrazine in the presence of FeCl3 and activated carbon gave amine (III), which was coupled with 2,6-dichlorobenzoyl chloride (IV) yielding amide (V). Alkylation of (V) with tert-butyl bromoacetate afforded benzimidazoleacetic acid tert-butyl ester (VI). After trifluoroacetic acid-promoted cleavage of the tert-butyl ester of (VI) the resulting carboxylic acid (VII) was coupled with morpholine (VIII) using EDC to furnish the title morpholide.

Drug Information Express,Drug R&D,Chemical Database,Patent Search.
Copyright © 2006-2026 Drug Future. All rights reserved.Contact Us