【药物名称】RWJ-314313
化学结构式(Chemical Structure):
参考文献No.42366
标题:Pyridyl ethers and thioethers as ligands for nicotinic acetylcholine receptor and its therapeutic application
作者:Jung, S.L. (Ortho-McNeil Pharmaceutical, Inc.)
来源:WO 0010997
合成路线图解说明:

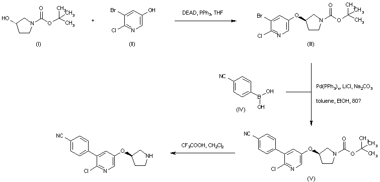
Mitsunobu coupling of N-Boc-3-(S)-hydroxypyrrolidine (I) with 3-bromo-2-chloro-5-hydroxypyridine (II) afforded ether (III). Subsequent introduction of the cyanophenyl group in (III) to give (V) was effected by Suzuki coupling with boronic acid (IV) in the presence of palladium catalyst. Finally, acid deprotection of the Boc group of (V) furnished the title compound.

参考文献No.572900
标题:Discovery of novel pyridyl ethers as ligand for nicotinic acetylcholine receptor
作者:Shank, R.; Davis, C.; Reiltz, A.; Rivero, R.; Lee, J.
来源:219th ACS Natl Meet (March 26 2000, San Francisco) 2000,Abst MEDI 271
合成路线图解说明:

Mitsunobu coupling of N-Boc-3-(S)-hydroxypyrrolidine (I) with 3-bromo-2-chloro-5-hydroxypyridine (II) afforded ether (III). Subsequent introduction of the cyanophenyl group in (III) to give (V) was effected by Suzuki coupling with boronic acid (IV) in the presence of palladium catalyst. Finally, acid deprotection of the Boc group of (V) furnished the title compound.

合成路线图解说明:

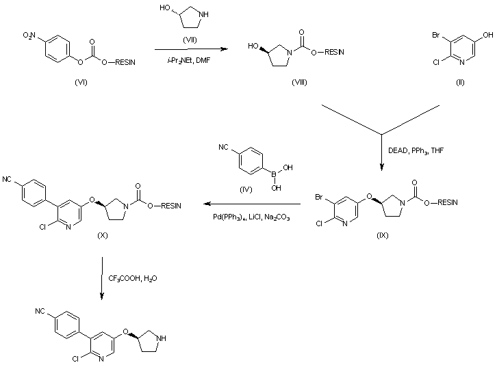
The compound has also been obtained by solid phase synthesis. Attachment of (S)-3-hydroxypyrrolidine (VII) to p-nitrophenylcarbonate Wang resin (VI) in the presence of diisopropylethylamine provided the resin bound pyrrolidinol (VIII). Coupling of (VIII) with 3-bromo-2-chloro-5-hydroxypyridine (II) under Mitsunobu conditions gave resin (IX). Further Suzuki coupling of (IX) with 4-cyanophenylboronic acid (IV) afforded (X). The title compound was then cleaved from the resin (X) by treatment with trifluoroacetic acid.

参考文献No.581808
标题:Synthesis and structure-activity relationship of novel pyridyl ethers for the nicotinic acetylcholine receptor
作者:Lee, J.; Davis, C.B.; Rivero, R.A.; Reitz, A.B.; Shank, R.P.
来源:Bioorg Med Chem Lett 2000,10(10),1063
合成路线图解说明:

The compound has also been obtained by solid phase synthesis. Attachment of (S)-3-hydroxypyrrolidine (VII) to p-nitrophenylcarbonate Wang resin (VI) in the presence of diisopropylethylamine provided the resin bound pyrrolidinol (VIII). Coupling of (VIII) with 3-bromo-2-chloro-5-hydroxypyridine (II) under Mitsunobu conditions gave resin (IX). Further Suzuki coupling of (IX) with 4-cyanophenylboronic acid (IV) afforded (X). The title compound was then cleaved from the resin (X) by treatment with trifluoroacetic acid.

Drug Information Express,Drug R&D,Chemical Database,Patent Search.
Copyright © 2006-2026 Drug Future. All rights reserved.Contact Us