【药物名称】SQ-311
化学结构式(Chemical Structure):
参考文献No.38068
标题:Novel guanidine mimics as factor Xa inhibitors
作者:Quan, M.L.; Clark, C.G.; Lam, P.Y.; Pinto, D.J.-P.; Han, Q.; Fevig, J.M.; Li, R.; Pruitt, J.R.; Dominguez, C. (DuPont Pharmaceuticals Co.)
来源:EP 0991638; WO 9857951
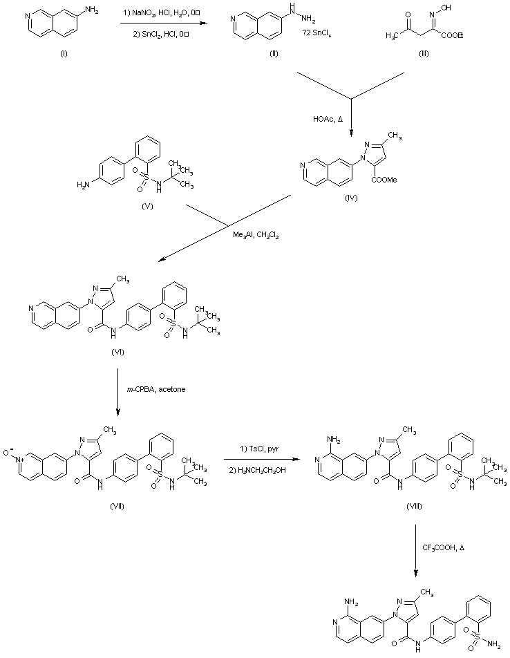
合成路线图解说明:

7-Aminoisoquinoline (I) was diazotized and then reduced with SnCl2 to afford the tin double salt of hydrazino isoquinoline (II), which was subsequently condensed with ethyl 2,4-dioxopentanoate oxime (III) yielding isoquinolinyl pyrazole (IV) as the major regioisomer. Displacement of the methyl ester group with biphenyl amine (V) in the presence of Me3Al furnished amide (VI). Introduction of the 1-amino moiety was accomplished via formation of the N-oxide (VII), followed by rearrangement with tosyl chloride and further displacement with ethanolamine. Finally, deprotection of the N-tert-butyl group with trifluoroacetic acid gave rise to the title compound.

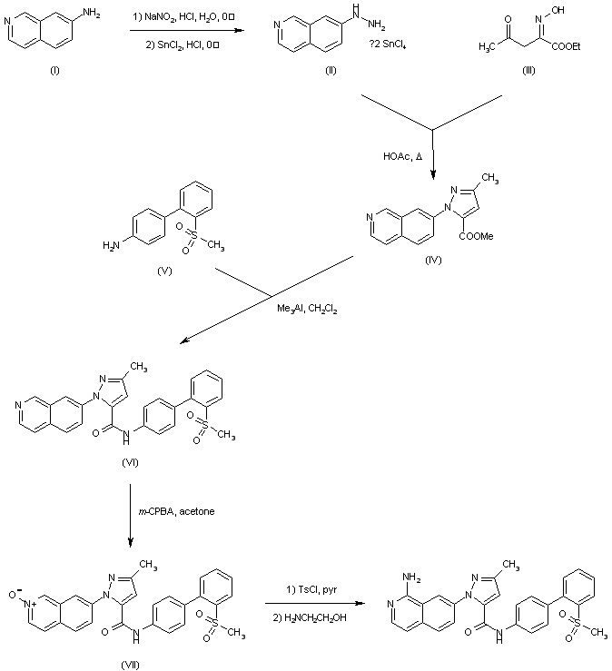
合成路线图解说明:

7-Aminoisoquinoline (I) was diazotized with NaNO2/HCl and then reduced with SnCl2 to afford the tin double salt of hydrazino isoquinoline (II), which was subsequently condensed with ethyl 2,4-dioxopentanoate oxime (III) yielding isoquinolinyl pyrazole (IV) as the major regioisomer. Displacement of the methyl ester group of (IV) with biphenyl amine (V) in the presence of Me3Al furnished amide (VI). Introduction in (VI) of the 1-amino moiety was accomplished via formation of the N-oxide (VII) with MCPBA, followed by rearrangement with tosyl chloride and finally displacement with ethanolamine.

Drug Information Express,Drug R&D,Chemical Database,Patent Search.
Copyright © 2006-2026 Drug Future. All rights reserved.Contact Us