【药物名称】CNS-5655(racemate), CNS-5788
化学结构式(Chemical Structure):
参考文献No.39045
标题:Pharmaceutically active cpd. and methods of use
作者:Durant, G.J.; Fischer, J.B.; Perlman, M.; Padmanabhan, S. (Cambridge NeuroScience, Inc.)
来源:WO 9918962
合成路线图解说明:

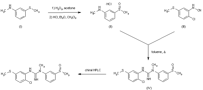
Oxidation of N-methyl-3-(methylsulfanyl)aniline (I) using hydrogen peroxide in acetone gave the required sulfoxide along with some sulfone, which was removed by chromatography on silica gel. After conversion to the corresponding hydrochloride salt (II), its condensation with 2-chloro-5-(methylthio)phenyl cyanamide (III) in boiling toluene furnished guanidine (IV) (1). The racemic mixture of sulfoxides was finally resolved by chiral HPLC on a Chiralpak AD column to provide the title (R)-enantioner.

合成路线图解说明:

An asymmetric alternative synthesis has been reported, involving the chiral oxidation of sulfide (I) with (R)-(-)-(8,8-dichloro-10-camphorsulfonyl)oxaziridine (DCCSO) to the desired (R)-sulfoxide (V). Conversion to the hydrochloride salt, followed by condensation with cyanamide (III) afforded the title chiral compound.

参考文献No.572932
标题:Synthesis of potential ischemia-selective NMDA antagonists
作者:Fischer, J.B.; Holt, W.H.; Zhou, D.; McBurney, R.N.; Durant, G.J.; Berlove, D.; Lavin, R.C.; Moore, D.; Padmanabhan, S.; Perlman, M:E.
来源:219th ACS Natl Meet (March 26 2000, San Francisco) 2000,Abst MEDI 95
合成路线图解说明:

Oxidation of N-methyl-3-(methylsulfanyl)aniline (I) using hydrogen peroxide in acetone gave the required sulfoxide along with some sulfone, which was removed by chromatography on silica gel. After conversion to the corresponding hydrochloride salt (II), its condensation with 2-chloro-5-(methylthio)phenyl cyanamide (III) in boiling toluene furnished guanidine (IV) (1). The racemic mixture of sulfoxides was finally resolved by chiral HPLC on a Chiralpak AD column to provide the title (R)-enantioner.

合成路线图解说明:

An asymmetric alternative synthesis has been reported, involving the chiral oxidation of sulfide (I) with (R)-(-)-(8,8-dichloro-10-camphorsulfonyl)oxaziridine (DCCSO) to the desired (R)-sulfoxide (V). Conversion to the hydrochloride salt, followed by condensation with cyanamide (III) afforded the title chiral compound.

Drug Information Express,Drug R&D,Chemical Database,Patent Search.
Copyright © 2006-2026 Drug Future. All rights reserved.Contact Us