【药物名称】VUF-2274
化学结构式(Chemical Structure):
参考文献No.555744
标题:Discovery of novel non-peptide CCR1 receptor antagonists
作者:Ng, H.P.; May, K.; Bauman, J.G.; Ghannam, A.; Islam, I.; Liang, M.; Horuk, R.; Hesselgesser, J.; Snider, R.M.; Perez, H.D.; Morrissey, M.M.
来源:J Med Chem 1999,42(22),4680
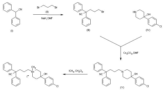
合成路线图解说明:

Diphenylacetonitrile (I) was alkylated with 1,3-dibromopropane (II) in the presence of NaH in DMF to afford the bromopropyl derivative (III). Subsequent condensation of bromide (III) with 4-(4-chlorophenyl)-4-hydroxypiperidine (IV) gave the tertiary amine (V). This was then quaternized with methyl iodide to furnish the corresponding piperidinium salt.

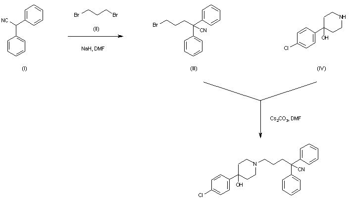
合成路线图解说明:

Alkylation of diphenylacetonitrile (I) with 1,3-dibromopropane (II) in the presence of NaH in DMF affords 5-bromo-2,2-diphenylvaleronitrile (III). This is then condensed with 4-(4-chlorophenyl)-4-hydroxypiperidine (IV) to produce the title compound.

参考文献No.571744
标题:Identification and characterization of small molecule functional antagonists of the CCR1 chemokine receptor
作者:Hesselgesser, J.; Ng, H.P.; Liang, M.; Zheng, W.; May, K.; Bauman, J.G.; Monahan, S.; Islam, I.; Wei, G.P.; Ghannam, A.; Taub, D.D.; Rosser, M.; Snider, R.M.; Morrissey, M.M.; Perez, H.D.; Horuk, R.
来源:J Biol Chem 1998,273(25),15687
合成路线图解说明:

Alkylation of diphenylacetonitrile (I) with 1,3-dibromopropane (II) in the presence of NaH in DMF affords 5-bromo-2,2-diphenylvaleronitrile (III). This is then condensed with 4-(4-chlorophenyl)-4-hydroxypiperidine (IV) to produce the title compound.

Drug Information Express,Drug R&D,Chemical Database,Patent Search.
Copyright © 2006-2026 Drug Future. All rights reserved.Contact Us