【药物名称】RPR-208566
化学结构式(Chemical Structure):
参考文献No.38168
标题:Substd. N-[(aminoiminomethyl or aminomethyl)phenyl]propyl amides
作者:Gong, Y.; Guertin, K.R.; McGarry, D.G.; Pauls, H.W.; Klein, S.I.; Spada, A.P. (Aventis Pharmaceuticals, Inc.)
来源:CA 2264556; EP 0931060; WO 9900356
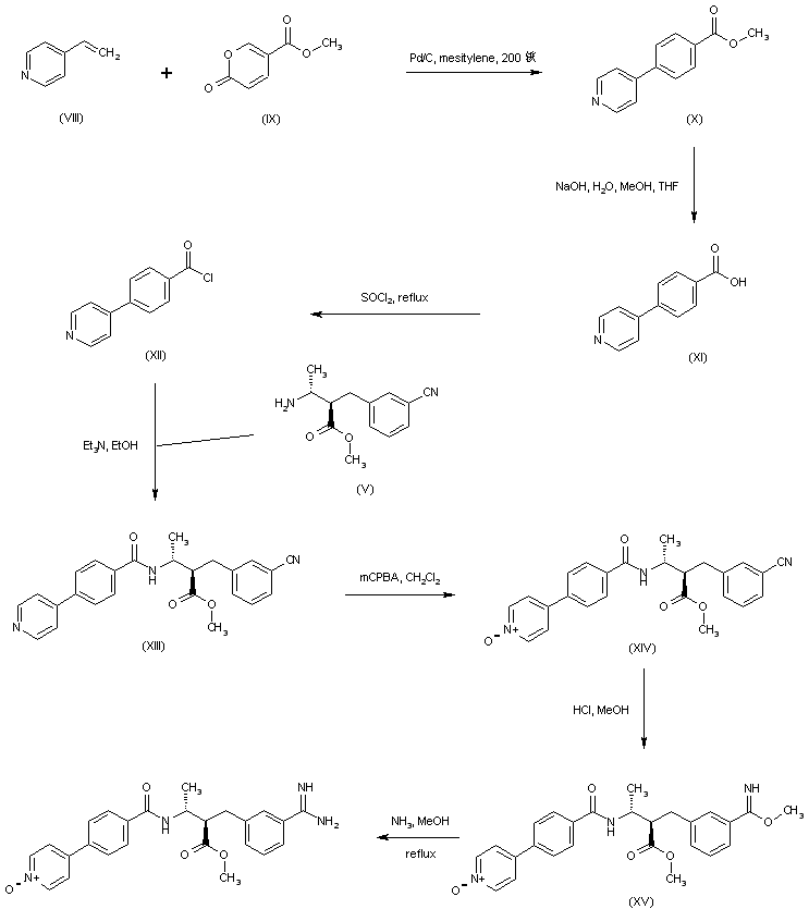
合成路线图解说明:

Organozinc reagent (II), prepared from 4-bromo-1,2-dimethoxybenzene (I), was coupled with methyl iodobenzoate (III) in the presence of bis(triphenylphosphine) palladium dichloride and diisobutylaluminum hydride to furnish biphenyl derivative (IV). After saponification of the methyl ester group of (IV), treatment with thionyl chloride yielded acid chloride (V).

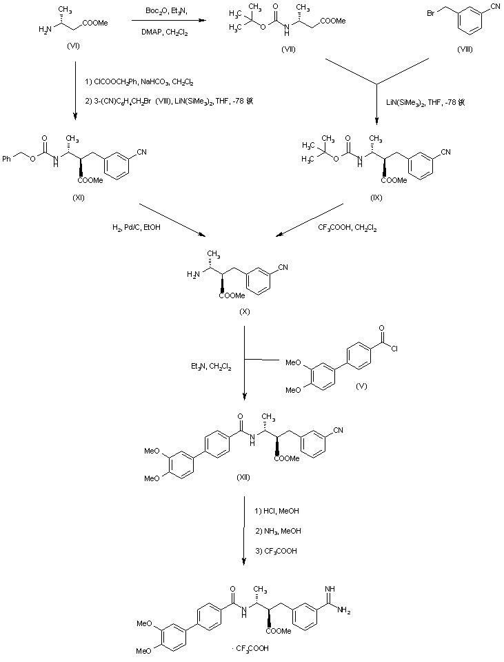
合成路线图解说明:

Protection of methyl (R)-3-aminobutyrate (VI) with di-tert-butyl dicarbonate provided the Boc derivative (VII), which was alkylated with 3-cyanobenzyl bromide (VIII) in the presence of lithium bis(trimethylsilyl)amide at -78 C to afford adduct (IX). Acid deprotection of the Boc group of (IX) yielded amino ester (X). Alternatively, (X) was obtained by protection of methyl 3-aminobutyrate (VI) with benzyl chloroformate, followed by alkylation with 3-cyanobenzyl bromide to give (XI). The carbobenzoxy group of (XI) was then deprotected by hydrogenation over Pd/C. Coupling of amino ester (X) with acid chloride (V) gave rise to amide (XII). Conversion of (XII) to the required amidine was then achieved by treatment with methanolic HCl, followed by reaction of the resulting imidate with ammonia in boiling MeOH. The title compound was isolated after conversion to the trifluoroacetate salt.

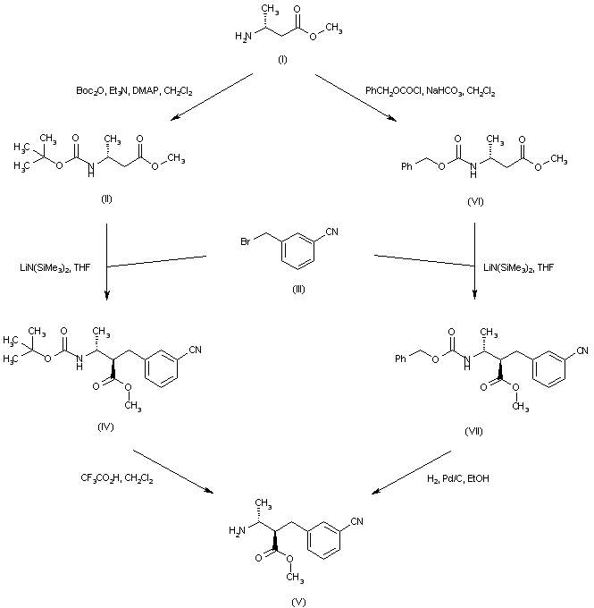
合成路线图解说明:

Methyl (R)-3-aminobutyrate (I) is protected as the N-Boc derivative (II) using di-tert-butyl dicarbonate. Diastereoselective alkylation of the lithium enolate of (II) with 3-cyanobenzyl bromide (III) yields adduct (IV). Deprotection of (IV) is then effected by treatment with trifluoroacetic acid, to afford amino ester (V). Alternatively, aminobutyrate (I) is protected as the N-(benzyloxycarbonyl) derivative (VI), which is then alkylated with 3-cyanobenzyl bromide (III) to give (VII). Catalytic hydrogenolysis of (VII) in the presence of Pd/C yields the target intermediate (V).

合成路线图解说明:

The cycloaddition reaction between 4-vinylpyridine (VIII) and methyl coumalate (IX) in hot mesitylene gives rise to the pyridyl benzoate (X). After saponification of the ester group of (X), the resultant carboxylic acid (XI) is converted to acid chloride (XII) by treatment with SOCl2. Acylation of amino ester (V) by acid chloride (XII) affords amide (XIII). The pyridine N of (XIII) is then oxidized to the corresponding N-oxide (XIV) employing m-chloroperbenzoic acid. Finally, conversion of the cyano group of (XIV) into the title amidine is accomplished by Pinner reaction, via formation of the intermediate imidate (XV), which is subsequently treated with methanolic ammonia.

Drug Information Express,Drug R&D,Chemical Database,Patent Search.
Copyright © 2006-2026 Drug Future. All rights reserved.Contact Us