【药物名称】BrHPP sodium salt
化学结构式(Chemical Structure):
参考文献No.42469
标题:Phosphohalohydrins, method for making same and uses
作者:Peyrat, M.-A.; Bonneville, M.; Fournie, J.-J.; Belmant, C. (INSERM (Institut National de la Sante et de la Recherche Medicale))
来源:FR 2782721; WO 0012516
合成路线图解说明:

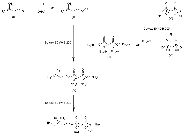
The reaction of 3-methyl-3-buten-1-ol (I) with tosyl chloride and DMAP in dichloromethane gives the corresponding tosylate (II), which is condensed with tetrakis tetrabutylammonium pyrophosphate (III) in acetonitrile and purified through Dowex 50-WXB-200 (NH4+), yielding the corresponding ester (IV) as an ammonium salt. Finally, this compound is brominated with Br2 in water and purified through Dowex 50-WXB-200 (Na+) to afford the target compound. The intermediate tetrakis tetrabutylammonium pyrophosphate (III) has been obtained as follows: Disodium pyrophosphate (V) is deionized by means of Dowex 50-WXB-200 (H+) to give pyrophosphoric acid (VI), which is then neutralized with tetrabutylammonium hydroxide in water affording the target pyrophosphate (III).

参考文献No.621591
标题:Chemical synthesis and biological activity of bromohydrin pyrophosphate, a potent stimulator of human gammadelta T cells
作者:Espinosa, E.; Belmant, C.; Pont, F.; Luciani, B.; Poupot, R.; Romagne, F.; Brailly, H.; Bonneville, M.; Fournie, J.J.
来源:J Biol Chem 2001,276(21),18337
合成路线图解说明:

The reaction of 3-methyl-3-buten-1-ol (I) with tosyl chloride and DMAP in dichloromethane gives the corresponding tosylate (II), which is condensed with tetrakis tetrabutylammonium pyrophosphate (III) in acetonitrile and purified through Dowex 50-WXB-200 (NH4+), yielding the corresponding ester (IV) as an ammonium salt. Finally, this compound is brominated with Br2 in water and purified through Dowex 50-WXB-200 (Na+) to afford the target compound. The intermediate tetrakis tetrabutylammonium pyrophosphate (III) has been obtained as follows: Disodium pyrophosphate (V) is deionized by means of Dowex 50-WXB-200 (H+) to give pyrophosphoric acid (VI), which is then neutralized with tetrabutylammonium hydroxide in water affording the target pyrophosphate (III).

Drug Information Express,Drug R&D,Chemical Database,Patent Search.
Copyright © 2006-2026 Drug Future. All rights reserved.Contact Us