【药物名称】
化学结构式(Chemical Structure):
参考文献No.572992
标题:Synthesis and anticonvulsant and neurotoxic properties of substituted N-phenyl derivatives of the phthalimide pharmacophore
作者:Vamecq, J.; Bac, P.; Herrenknecht, C.; Maurois, P.; Delcourt, P.; Stables, J.P.
来源:J Med Chem 2000,43(7),1311
合成路线图解说明:

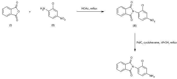
The condensation between 2-chloro-4-nitroaniline (II) and phthalic anhydride (I) in refluxing acetic acid produced phthalimide (III). The nitro group was then reduced to the desired aniline by transfer hydrogenation employing cyclohexene in the presence of Pd/C.

Drug Information Express,Drug R&D,Chemical Database,Patent Search.
Copyright © 2006-2026 Drug Future. All rights reserved.Contact Us