【药物名称】SM-130686
化学结构式(Chemical Structure):
参考文献No.42357
标题:Oxindole derivs. as growth hormone releasers
作者:Okazaki, K.; Kumagai, K.; Tokunaga, T.; Ueki, Y.; Nagata, R.; Umezome, T.; Hume, W.E. (Sumitomo Pharmaceuticals Co., Ltd.)
来源:EP 1105376; JP 2002523400; WO 0010975
合成路线图解说明:

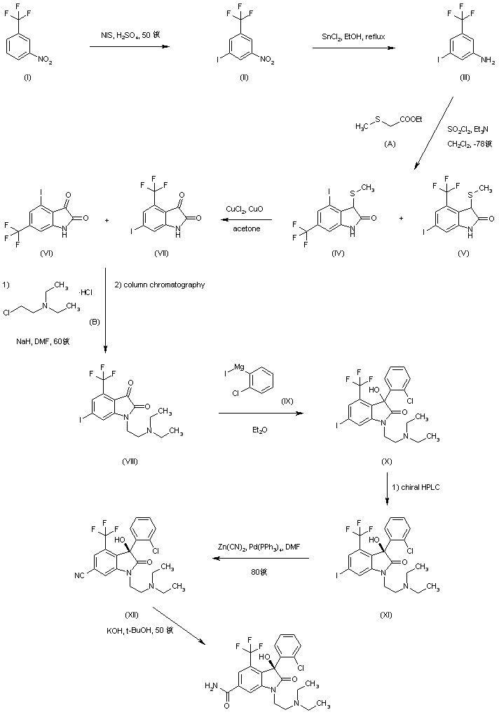
Iodination of 3-(trifluoromethyl)nitrobenzene (I) was accomplished by using N-iodosuccinimide in concentrated sulfuric acid to provide (II), which was then reduced to aniline (III) with SnCl2 in refluxing EtOH. Treatment of aniline (III) with sulfuryl chloride, followed by addition of ethyl (methylthio)acetate and Et3N gave rise to a mixture of regioisomeric 3-(methylthio)oxindoles (IV) and (V). Oxidation of this mixture with CuCl2/CuO generated the respective isatins (VI) and (VII) (1). After N-alkylation with 2-(diethylamino)ethyl chloride and NaH, the desired regioisomer (VIII) could be separated by column chromatography. Addition to (VIII) of the Grignard reagent (IX) provided the racemic 3-aryl-3-hydroxy oxindole (X). The enantiomers of (X) were separated using chiral, preparative HPLC, and the desired (S)-enantiomer (XI) was then converted to nitrile (XII) by iodide displacement with zinc cyanide in the presence of palladium catalyst. Finally, partial hydrolysis of nitrile (XII) with KOH in tert-butanol furnished the title amide

参考文献No.645573
标题:Oxindole derivatives as orally active potent growth hormone secretagogues
作者:Tokunaga, T.; Hume, W.E.; Umezome, T.; Okazaki, K.; Ueki, Y.; Kumagai, K.; Hourai, S.; Nagamine, J.; Seki, H.; Taiji, M.; Noguchi, H.; Nagata, R.
来源:J Med Chem 2001,44(26),4641
合成路线图解说明:

Iodination of 3-(trifluoromethyl)nitrobenzene (I) was accomplished by using N-iodosuccinimide in concentrated sulfuric acid to provide (II), which was then reduced to aniline (III) with SnCl2 in refluxing EtOH. Treatment of aniline (III) with sulfuryl chloride, followed by addition of ethyl (methylthio)acetate and Et3N gave rise to a mixture of regioisomeric 3-(methylthio)oxindoles (IV) and (V). Oxidation of this mixture with CuCl2/CuO generated the respective isatins (VI) and (VII) (1). After N-alkylation with 2-(diethylamino)ethyl chloride and NaH, the desired regioisomer (VIII) could be separated by column chromatography. Addition to (VIII) of the Grignard reagent (IX) provided the racemic 3-aryl-3-hydroxy oxindole (X). The enantiomers of (X) were separated using chiral, preparative HPLC, and the desired (S)-enantiomer (XI) was then converted to nitrile (XII) by iodide displacement with zinc cyanide in the presence of palladium catalyst. Finally, partial hydrolysis of nitrile (XII) with KOH in tert-butanol furnished the title amide

Drug Information Express,Drug R&D,Chemical Database,Patent Search.
Copyright © 2006-2026 Drug Future. All rights reserved.Contact Us