【药物名称】SUN-C8257
化学结构式(Chemical Structure):
参考文献No.42360
标题:Quinazoline derivs. and pharmaceutical application thereof
作者:Ito, A.; Fukami, H.; Imajo, S. (Suntory Ltd.)
来源:EP 1114035; JP 2002523404; WO 0010982
合成路线图解说明:

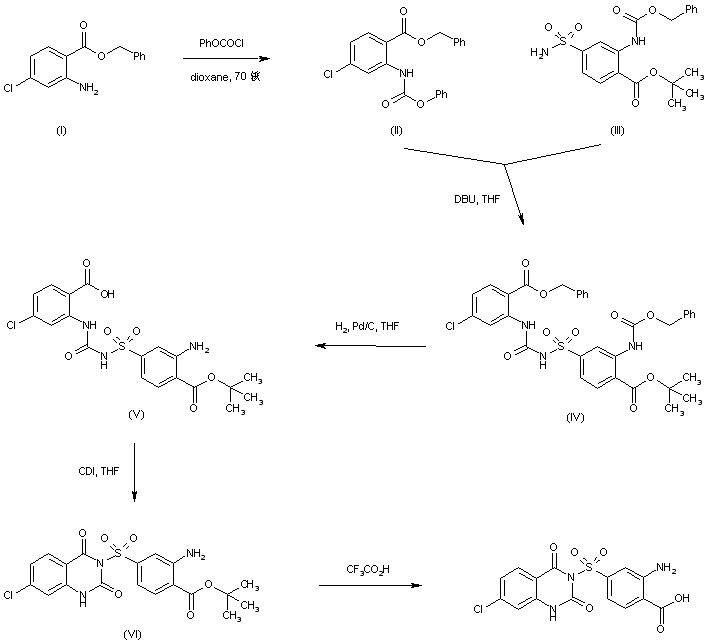
Benzyl 4-chloroanthranilate (I) is treated with phenyl chloroformate in hot dioxane to produce carbamate (II). Condensation between the phenyl carbamate (II) and sulfonamide (III) in the presence of DBU yields the sulfonyl urea (IV). The benzyl ester and N-benzyloxycarbonyl groups of (IV) are then removed by catalytic hydrogenolysis to furnish acid (V). Cyclization of (V) by means of CDI leads to the quinazolinedione (VI). Finally, the tert-butyl ester group of (VI) is cleaved by treatment with trifluoroacetic acid to provide the title compound

参考文献No.691745
标题:Substituted 3-phenylsulfonylquinazoline-2,4-dione derivatives as novel nonpeptide inhibitors of human heart chymase
作者:Fukami, H.; Imajo, S.; Ito, A.; Kakutani, S.; Shibata, H.; Sumida, M.; Tanaka, T.; Niwata, S.; Saitoh, M.; Kiso, Y.; Miyazaki, M.; Okunishi, H.; Urata, H.; Arakawa, K.
来源:Drug Des Discov 2000,17(1),69
合成路线图解说明:

Benzyl 4-chloroanthranilate (I) is treated with phenyl chloroformate in hot dioxane to produce carbamate (II). Condensation between the phenyl carbamate (II) and sulfonamide (III) in the presence of DBU yields the sulfonyl urea (IV). The benzyl ester and N-benzyloxycarbonyl groups of (IV) are then removed by catalytic hydrogenolysis to furnish acid (V). Cyclization of (V) by means of CDI leads to the quinazolinedione (VI). Finally, the tert-butyl ester group of (VI) is cleaved by treatment with trifluoroacetic acid to provide the title compound

Drug Information Express,Drug R&D,Chemical Database,Patent Search.
Copyright © 2006-2026 Drug Future. All rights reserved.Contact Us