【药物名称】Becampanel, AMP-397, AMP-397A
化学结构式(Chemical Structure):
参考文献No.36431
标题:Substd. aminoalkane phosphonic acids
作者:Acklin, P.; Allgeier, H.; Auberson, Y.; Ofner, S.; Veenstra, S.J. (Novartis AG)
来源:EP 0934326; US 6117873; WO 9817672
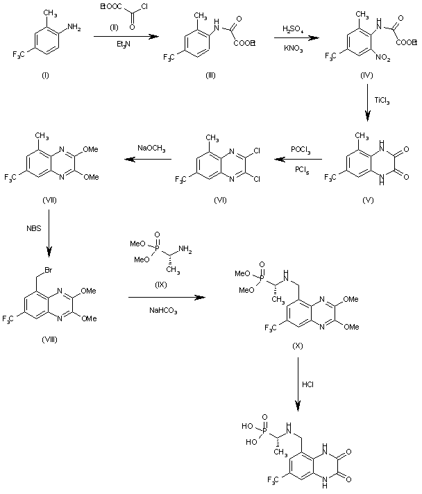
合成路线图解说明:

The reaction of 2-methyl-4-(trifluoromethyl)aniline (I) with ethoxalyl chloride (II) by means of triethylamine in ethyl acetate gives the oxamic ester (III), which is nitrated at the aromatic ring with KNO3 and H2SO4 yielding the intermediate (IV). The reductocyclization of (IV) by means of TiCl3 in acetone affords the quinoxalinedione (V), which is treated with PCl5 in refluxing POCl3 affording the dichloroquinoxaline (VI). The reaction of (VI) with sodium methoxide in refluxing methanol gives the dimethoxyquinoxaline (VII), which is brominated with NBS and AIBN in refluxing benzene yielding the bromomethyl quinoxaline (VIII). The condensation of (VIII) with dimethyl 1(S)-aminoethylphosphonate (IX) by means of NaHCO3 in DMF affords the phosphonate derivative (X), which is finally submitted to acid hydrolysis to provide the target compound.

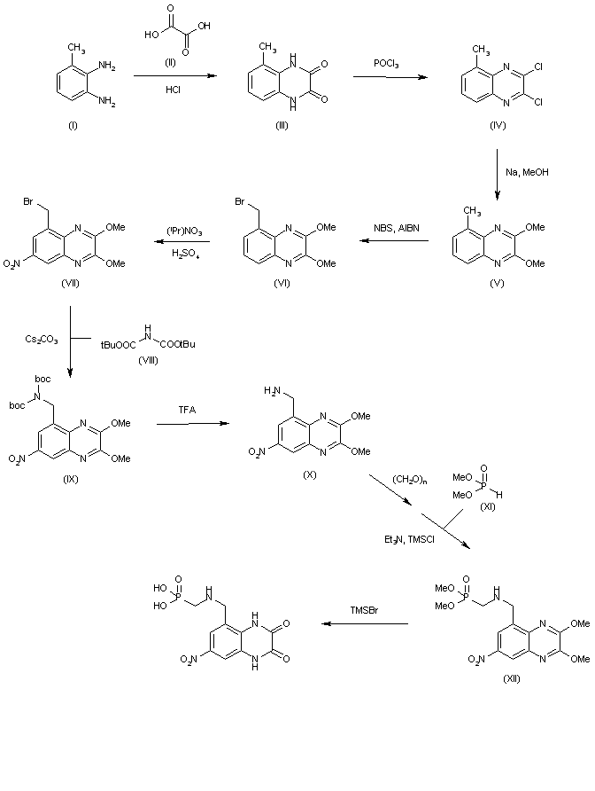
合成路线图解说明:

Treatment of diamino compound (I) with oxalic acid (II) in refluxing HCl provides tetrahydroquinoxalindione derivative (III), which is then converted into dichloro compound (IV) by reaction with refluxing POCl3. Treatment of (IV) with Na in refluxing MeOH affords dimethoxy quinoxaline (V), which is then brominated by reaction with NBS and AIBN in refluxing CCl4 to give bromomethyl derivative (VI). Nitration of (VI) by reaction with isopropyl nitrate in H2SO4 yields nitro derivative (VII), which is then converted into protected amino methyl derivative (IX) by reaction with di-tert-butyl-iminocarboxylate (VIII) and cesium carbonate in DMF. Removal of the Boc groups of (IX) by means of TFA gives aminomethyl derivative (X), which is then converted into phosphonic dimethyl ester (XII) by first treatment with formaline in EtOH followed by reaction with dimethyl phosphonate (XI), Et3N and trimethylsilyl chloride (TMSCl) in CHCl3. Finally, treatment of (XII) with trimethylsilyl bromide (TMSBr) in CH2Cl2 obtains the desired product.

Drug Information Express,Drug R&D,Chemical Database,Patent Search.
Copyright © 2006-2026 Drug Future. All rights reserved.Contact Us