【药物名称】OC-060-062
化学结构式(Chemical Structure):
参考文献No.36055
标题:Modulators of proteins with phosphotyrosine recognition units
作者:Mjalli, A.; Sarshar, S.; Cao, X.; Bakir, F. (Ontogen Corp.)
来源:US 5753687; US 5770620
合成路线图解说明:

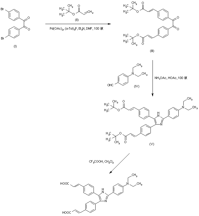
Coupling of tert-butyl acrylate (II) with 4,4'-dibromobenzyl (I) using palladium diacetate and tri-o-tolyl phosphine produced diester (III). Subsequent condensation of (III) with 4-(diethylamino)benzaldehyde (IV) in the presence of ammonium acetate generated the required imidazole system (V). Finally, deprotection of the tert-butyl esters of (V) by treatment with trifluoroacetic acid afforded the title dicarboxylic acid.

参考文献No.43538
标题:Modulators of proteins with phosphotyrosine recognition units
作者:Mjalli, A.; Sarshar, S.; Bakir, F.; Cao, X. (Ontogen Corp.)
来源:WO 9827065
合成路线图解说明:

Coupling of tert-butyl acrylate (II) with 4,4'-dibromobenzyl (I) using palladium diacetate and tri-o-tolyl phosphine produced diester (III). Subsequent condensation of (III) with 4-(diethylamino)benzaldehyde (IV) in the presence of ammonium acetate generated the required imidazole system (V). Finally, deprotection of the tert-butyl esters of (V) by treatment with trifluoroacetic acid afforded the title dicarboxylic acid.

Drug Information Express,Drug R&D,Chemical Database,Patent Search.
Copyright © 2006-2026 Drug Future. All rights reserved.Contact Us