【药物名称】
化学结构式(Chemical Structure):
参考文献No.43214
标题:DNA-binding indole derivs., their prodrugs and immunoconjugates as anticancer agents
作者:Larrick, J.W.; Wright, S.C.; Wang, Y. (Panorama Research, Inc.)
来源:WO 9744000
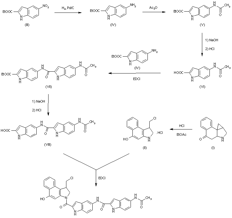
合成路线图解说明:

Treatment of the cyclopropabenzindole derivative (CBI) (I) with hydrochloric acid in ethyl acetate affords the chloromethyl derivative (II). The final step is the condensation of (II) with the acid (VIII) by means of 1-(3-dimethylaminopropyl)-3-ethylcarbodiimide (EDCI) in DMF. The acid (VIII) was prepared as follows: Ethyl 5-nitroindole-2-carboxylate (III) is reductively transformed to its corresponding amine (IV) by hydrogenation over Pd/C. The amine (IV) is then converted to its acetamido ester (V) by treatment with acetic anhydride in ethyl acetate. Ester (V) is then hydrolyzed using NaOH to afford the corresponding acid (VI), which is coupled to amine (IV) in the presence of EDCI to yield ester (VII). Finally (VII) is converted to acid (VIII) by treatment with NaOH.

参考文献No.570833
标题:Synthesis and preliminary biological evaluations of CC-1065 analogues: Effects of different linkers terminal amides on biological activity
作者:Wang, Y.; Yuan, H.; Ye, W.; Wright, S.C.; Wang, H.; Larrick, J.W.
来源:J Med Chem 2000,43(8),1541
合成路线图解说明:

Treatment of the cyclopropabenzindole derivative (CBI) (I) with hydrochloric acid in ethyl acetate affords the chloromethyl derivative (II). The final step is the condensation of (II) with the acid (VIII) by means of 1-(3-dimethylaminopropyl)-3-ethylcarbodiimide (EDCI) in DMF. The acid (VIII) was prepared as follows: Ethyl 5-nitroindole-2-carboxylate (III) is reductively transformed to its corresponding amine (IV) by hydrogenation over Pd/C. The amine (IV) is then converted to its acetamido ester (V) by treatment with acetic anhydride in ethyl acetate. Ester (V) is then hydrolyzed using NaOH to afford the corresponding acid (VI), which is coupled to amine (IV) in the presence of EDCI to yield ester (VII). Finally (VII) is converted to acid (VIII) by treatment with NaOH.

Drug Information Express,Drug R&D,Chemical Database,Patent Search.
Copyright © 2006-2026 Drug Future. All rights reserved.Contact Us