【药物名称】Indanocine, NSC-698666
化学结构式(Chemical Structure):
参考文献No.576837
标题:Rational design, synthesis and structure-activity relationships of antitumor (E)-2-benzylidene-1-tetralones and (E)-2-benzylidene-1-indanones
作者:Shih, H.; Deng, L.; Carrera, C.J.; Adachi, C.J.; Cottam, H.B.; Carson, D.A.
来源:Bioorg Med Chem Lett 2000,10(5),487
合成路线图解说明:

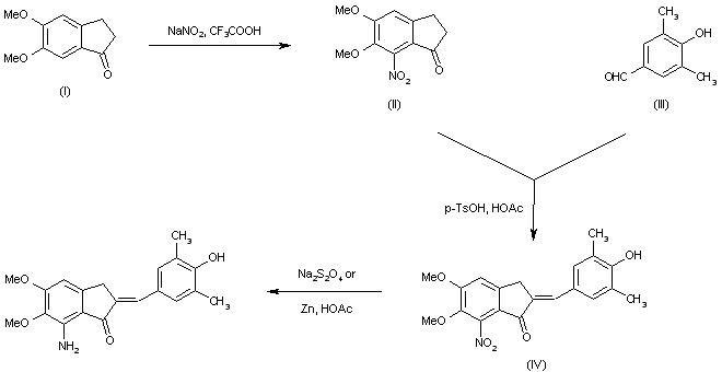
5,6-Dimethoxy-1-indanone (I) was selectively nitrated at position 7 by means of NaNO2 in trifluoroacetic acid. Acid-catalyzed aldol condensation of the resulting nitroindanone (II) with 3,5-dimethyl-4-hydroxybenzaldehyde (III) afforded the E-unsaturated ketone (IV). Finally, reduction of the nitro group of (IV) with either sodium dithionite or zinc dust and AcOH yielded the corresponding amino derivative.

Drug Information Express,Drug R&D,Chemical Database,Patent Search.
Copyright © 2006-2026 Drug Future. All rights reserved.Contact Us