【药物名称】Y-34959
化学结构式(Chemical Structure):
参考文献No.42620
标题:Benzoic acid cpd. and use thereof as medicine
作者:Kawakita, T.; Hakira, H.; Haga, K.; Murozono, T.; Kuroita, T. (Welfide Corporation)
来源:EP 0774460; WO 9526953
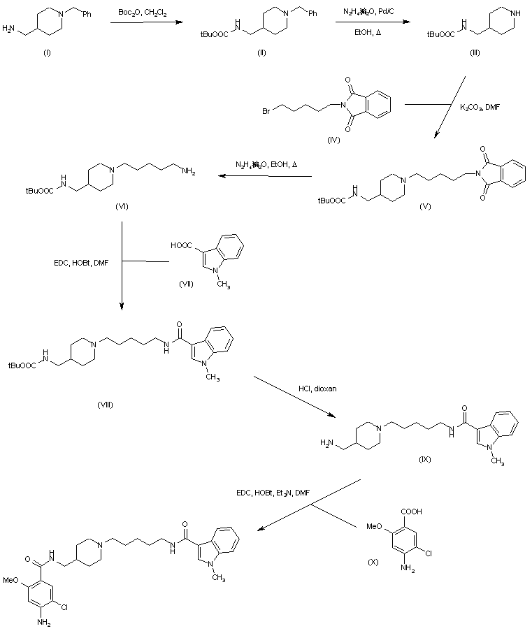
合成路线图解说明:

1-Benzyl-4-(aminomethyl)piperidine (I) was protected at the primary amino group as the Boc derivative (II) and the N-benzyl group was subsequently removed by transfer hydrogenolysis with hydrazine and Pd/C to give piperidine (III). Alkylation of (III) with N-(5-bromopentyl)phthalimide (IV) afforded (V), which was subjected to hydrazinolysis of the phthalimido group, yielding primary amine (VI). Coupling of (VI) with 1-methylindole-3-carboxylic acid (VII) by means of EDC and HOBt gave rise to amide (VIII). The Boc protecting group of (VIII) was then cleaved by acidic treatment to furnish amine (IX). Finally, coupling of (IX) with 4-amino-5-chloro-2-methoxybenzoic acid (X) provided the title benzamide.

参考文献No.563519
标题:Synthesis and pharmacological properties of novel benzamide derivatives acting as ligands to the 5-hydroxytryptamine 4 (5-HT4) receptor
作者:Haga, K.; Tomozane, H.; Sato, N.; Kawakita, T.; Itoh, K.; Sonda, S.; Asano, K.; Fujimura, M.; Hakira, H.
来源:Eur J Med Chem 1999,34(12),1101
合成路线图解说明:

1-Benzyl-4-(aminomethyl)piperidine (I) was protected at the primary amino group as the Boc derivative (II) and the N-benzyl group was subsequently removed by transfer hydrogenolysis with hydrazine and Pd/C to give piperidine (III). Alkylation of (III) with N-(5-bromopentyl)phthalimide (IV) afforded (V), which was subjected to hydrazinolysis of the phthalimido group, yielding primary amine (VI). Coupling of (VI) with 1-methylindole-3-carboxylic acid (VII) by means of EDC and HOBt gave rise to amide (VIII). The Boc protecting group of (VIII) was then cleaved by acidic treatment to furnish amine (IX). Finally, coupling of (IX) with 4-amino-5-chloro-2-methoxybenzoic acid (X) provided the title benzamide.

Drug Information Express,Drug R&D,Chemical Database,Patent Search.
Copyright © 2006-2026 Drug Future. All rights reserved.Contact Us