【药物名称】T-1032
化学结构式(Chemical Structure):
参考文献No.37220
标题:Isoquinolinone derivs., process for preparing the same, and their use as phosphodiesterase inhibitors
作者:Ikeo, T.; Ukita, T.; Omori, K. (Tanabe Seiyaku Co., Ltd.)
来源:JP 1998298164; WO 9838168
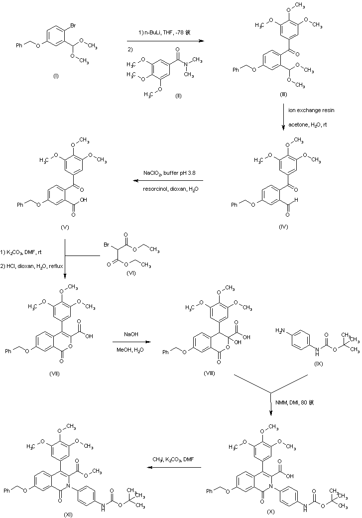
合成路线图解说明:

Lithiation of 5-benzyloxy-2-bromobenzaldehyde dimethyl acetal (I), followed by addition to N,N-dimethyl-3,4,5-trimethoxybenzamide (II), gave rise to benzophenone (III). After acetal hydrolysis using an acidic ion exchange resin, the resulting aldehyde (IV) was oxidized to carboxylic acid (V) by means of sodium chlorite. Condensation of this keto acid (V) with diethyl bromomalonate (VI), followed by acidic treatment, furnished the isocoumarin derivative (VII). Subsequent addition of water to the double bond upon treatment with NaOH in aqueous methanol produced (VIII). This compound was condensed with N-Boc-p-phenylenediamine (IX) in the presence of N-methylmorpholine in hot 1,3-dimethyl-2-imidazolinone to afford the isoquinolinone (X). The methyl ester (XI) was prepared by reaction of carboxylic acid (X) with iodomethane and K2CO3.

合成路线图解说明:

Hydrogenolytic removal of the O-benzyl group provided phenol (XII), which was subsequently alkylated with 2-picolyl chloride (XIII) to produce ether (XIV). The Boc protecting group of (XIV) was finally cleaved by treatment with HCl in EtOAc.

Drug Information Express,Drug R&D,Chemical Database,Patent Search.
Copyright © 2006-2026 Drug Future. All rights reserved.Contact Us