【药物名称】
化学结构式(Chemical Structure):
参考文献No.568859
标题:Design of an Oligosaccharide Scaffold that binds in the minor groove of DNA
作者:Xuereb, H.; et al.
来源:J Am Chem Soc 2000,122(9),1883-90
合成路线图解说明:

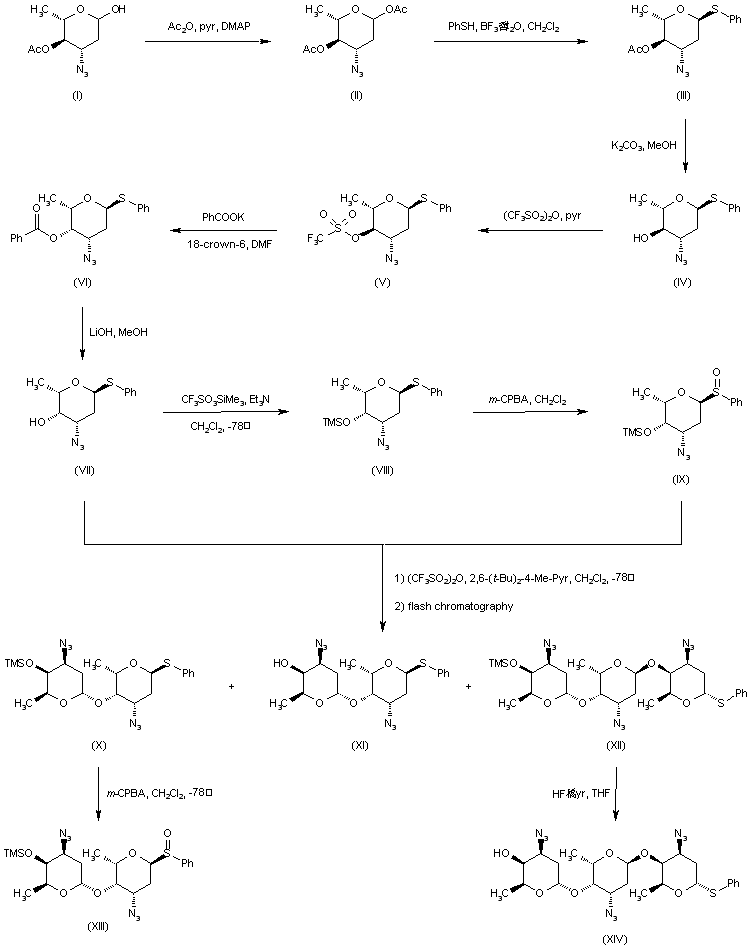
Deoxy rhamnopyranoside derivative (I) was acetylated to (II) and subsequently reacted with thiophenol in the presence of boron trifluoride etherate to afford the phenylthio glycoside (III). Acetate hydrolysis of (III) with methanolic K2CO3 gave alcohol (IV). Inversion of the configuration of position 4 to provide the required epimeric alcohol (VII) was achieved via conversion of (IV) to triflate (V), followed by displacement with potassium benzoate and basic hydrolysis of the benzoate ester (VI). The sulfoxide monomer (IX) was obtained from (VII) by protection with trimethylsilyl triflate yielding (VIII), and then oxidation with m-chloroperbenzoic acid to (IX). Coupling of monomers (VII) and (IX) using the sulfoxide glycosylation method in the presence of triflic anhydride produced a mixture of disaccharide (X), its desilylated analogue (XI), and trisaccharide (XII), which were separated by flash chromatography. Oxidation of disaccharide sulfide (X) with m-chloroperbenzoic acid provided sulfoxide (XIII). On the other hand, trisaccharide (XII) was desilylated with HF.Pyr to afford the corresponding alcohol (XIV).

合成路线图解说明:

Application of the sulfoxide glycosylation method to a mixture of disaccharide (XIII) and trisaccharide (XIV) generated the pentasaccharide core (XV). After cleavage of the trimethylsilyl ether of (XV) with HF.Pyr, methylation with iodomethane and NaH produced methyl ether (XVI). Installation of a further methoxy group in the alpha-position of the sulfide was achieved by oxidation with mercuric trifluoroacetate in the presence of MeOH, yielding (XVII). Desulfurization and simultaneous reduction of all azido groups of (XVII) by hydrogenation over PtO-2 furnished (XVIII).

合成路线图解说明:

The pentaamino compound (XVIII) was coupled with N-(benzyloxycarbonyl)glycine (XIX) employing EDC and HOBt to afford penta amide (XX). The carbobenzoy protecting groups of (XX) were then removed by hydrogenation over PtO2 to give (XXI). Finally, installation of the guanidino groups in (XXI) was carried out by condensation with N,N'-di(carbobenzoxy)-S-methylisothiourea (XXII), followed by hydrogenolysis of the carbobenzoxy groups.

Drug Information Express,Drug R&D,Chemical Database,Patent Search.
Copyright © 2006-2026 Drug Future. All rights reserved.Contact Us