【药物名称】OM-99-2
化学结构式(Chemical Structure):
参考文献No.570209
标题:Design of potent inhibitors for human brain memapsin 2 (beta-secretase)
作者:Lin, X.; Shin, D.; Downs, D.; Tang, J.; Koelsch, G.; Ghosh, A.K.; Ermolieff, J.
来源:J Am Chem Soc 2000,122(14),3522
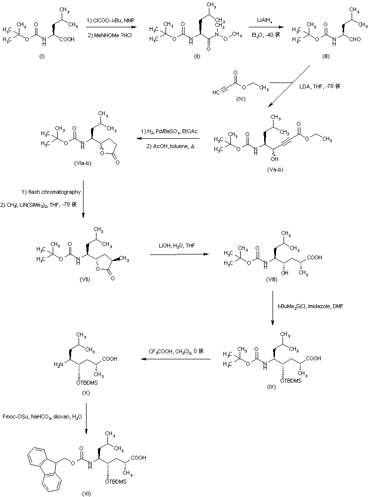
合成路线图解说明:

Boc-Leucine (I) was converted to Weinreb amide (II) by activation with isobutyl chloroformate and N-methylpiperidine, followed by treatment of the resulting mixed anhydride with N,O-dimethylhydroxylamine. Reduction of (II) with LiAlH4 provided the aldehyde (III), which was condensed with the lithium anion of ethyl propiolate (IV) to furnish the acetylenic alcohol (Va-b) as an inseparable mixture of diastereomers. Catalytic hydrogenation of the triple bond of (Va-b) over Pd/BaSO4, followed by acid-catalyzed lactonization of the resulting hydroxy ester provided the diastereomeric mixture of gamma-lactones (VIa-b). After separation by column chromatography, alkylation of the desired isomer employing iodomethane and lithium hexamethyldisilazide at -78 C provided the desired alpha-methyl lactone (VII), along with a small amount of the corresponding epimer. Lactone (VII) hydrolysis using LiOH gave hydroxy acid (VIII), which was further protected as the silyl ether (IX) with tert-butyldimethylsilyl chloride and imidazole. The Boc protecting group of (IX) was selectively removed by treatment with trifluoroacetic acid in CH2Cl2 at 0 C, and the resulting amine (X) was treated with Fmoc-succinimide to provide the Fmoc-protected intermediate (XI).

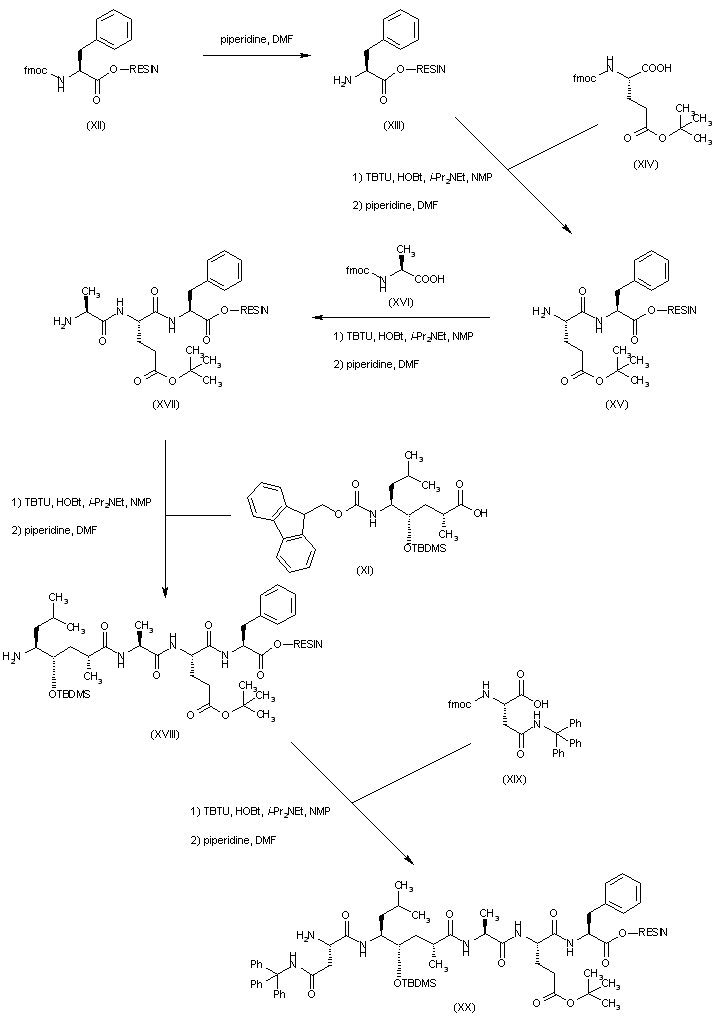
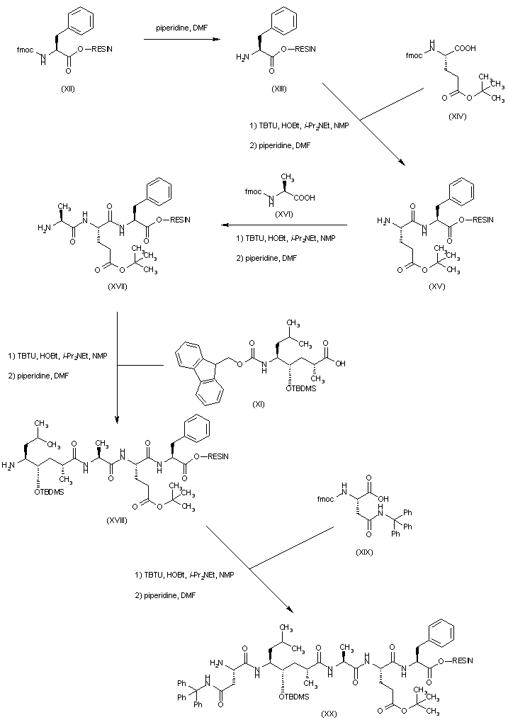
合成路线图解说明:

Preparation of the title compound was carried out by solid-phase peptide synthesis, starting from Wang resin bounded to N-Fmoc-phenylalanine (XII). Removal of the Fmoc group of (XII) with piperidine in DMF provided phenylalanine-resin (XIII), which was subsequently coupled with N-Fmoc-glutamic acid gamma-tert-butyl ester (XIV) in the presence of O-benzotriazol-1-yl-N,N,N',N'-tetramethyluronium tetrafluoroborate (TBTU) and 1-hydroxybenzotriazole (HOBt). Cleavage of the Fmoc group from the resulting protected dipeptide-resin furnished (XV). Sequential coupling-deprotection cycles with N-Fmoc-alanine (XVI), intermediate (XI) and Nalpha-Fmoc-Nbeta-trityl-asparagine (XIX) furnished the peptide resins (XVII), (XVIII) and (XX), respectively. (Scheme 28685901b).

合成路线图解说明:

Coupling-deprotection cycle with N-Fmoc-valine (XXI) furnished the peptide resin (XXII). Finally, removal of the side-chain protecting groups and cleavage from the resin by means of 95% trifluoroacetic acid yielded the title compound (Scheme 28685901c).

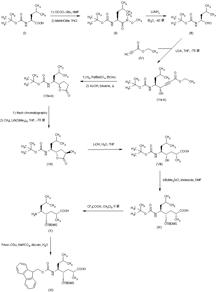
合成路线图解说明:

Boc-Leucine (I) was converted to Weinreb amide (II) by activation with isobutyl chloroformate and N-methylpiperidine, followed by treatment of the resulting mixed anhydride with N,O-dimethylhydroxylamine. Reduction of (II) with LiAlH4 provided the aldehyde (III), which was condensed with the lithium anion of ethyl propiolate (IV) to furnish the acetylenic alcohol (Va-b) as an inseparable mixture of diastereomers. Catalytic hydrogenation of the triple bond of (Va-b) over Pd/BaSO4, followed by acid-catalyzed lactonization of the resulting hydroxy ester provided the diastereomeric mixture of gamma-lactones (VIa-b). After separation by column chromatography, alkylation of the desired isomer employing iodomethane and lithium hexamethyldisilazide at -78 C provided the desired alpha-methyl lactone (VII), along with a small amount of the corresponding epimer. Lactone (VII) hydrolysis using LiOH gave hydroxy acid (VIII), which was further protected as the silyl ether (IX) with tert-butyldimethylsilyl chloride and imidazole. The Boc protecting group of (IX) was selectively removed by treatment with trifluoroacetic acid in CH2Cl2 at 0 C, and the resulting amine (X) was treated with Fmoc-succinimide to provide the Fmoc-protected intermediate (XI).

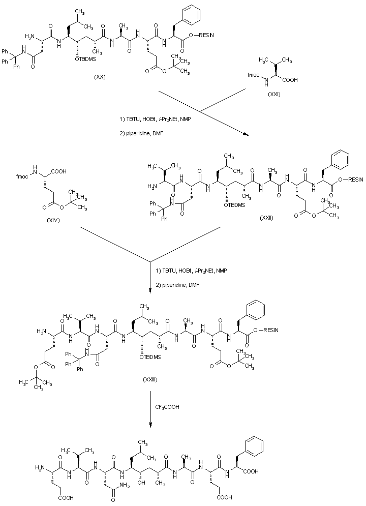
合成路线图解说明:

Preparation of the title compound was carried out by solid-phase peptide synthesis, starting from Wang resin bounded to N-Fmoc-phenylalanine (XII). Removal of the Fmoc group of (XII) with piperidine in DMF provided phenylalanine-resin (XIII), which was subsequently coupled with N-Fmoc-glutamic acid gamma-tert-butyl ester (XIV) in the presence of O-benzotriazol-1-yl-N,N,N',N'-tetramethyluronium tetrafluoroborate (TBTU) and 1-hydroxybenzotriazole (HOBt). Cleavage of the Fmoc group from the resulting protected dipeptide-resin furnished (XV). Sequential coupling-deprotection cycles with N-Fmoc-alanine (XVI), intermediate (XI) and Nalpha-Fmoc-Nbeta-trityl-asparagine (XIX) furnished the peptide resins (XVII), (XVIII), (XX), (XXII) and (XXIII), respectively. (Scheme 28686001b).

合成路线图解说明:

Sequential coupling-deprotection cycles with N- N-Fmoc-valine (XXI), and N-Fmoc-glutamic acid gamma-tert-butyl ester (XIV) furnished the peptide resins (XXII) and (XXIII), respectively. Finally, removal of the side-chain protecting groups and cleavage from the resin by means of 95% trifluoroacetic acid yielded the title compound.) (Scheme 28686001c)

Drug Information Express,Drug R&D,Chemical Database,Patent Search.
Copyright © 2006-2026 Drug Future. All rights reserved.Contact Us