【药物名称】
化学结构式(Chemical Structure):
参考文献No.37149
标题:Pyrrolidine derivs. having phospholipase A2 inhibitory activity
作者:Seno, K.; Ohtani, M.; Watanabe, F. (Shionogi & Co. Ltd.)
来源:EP 0976748; WO 9833797
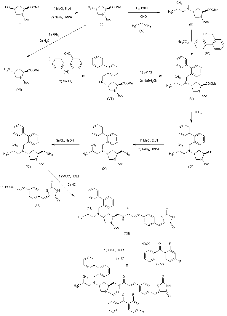
合成路线图解说明:

Treatment of the alcohol (I) with MsCl in the presence of TEA, followed by treatment with NaN3 in presence of HMPA yields the azide derivative (II). This species reacts with isobutyraldehide under reductive conditions (H2, Pd/C) leading to the substituted amine (III) which will be further substituted by reaction with the bromine derivative (IV) in basic conditions to yield derivative (V). Derivative (V) can also be obtained by following this pathway: Reduction of azide (II) with PPh3 in THF followed by reaction with refluxing water yields amine derivative (VI). This derivative is reductocondensed with the aldehyde (VII) and NaBH4 providing the substituted amine (VIII). This amine is further substituted by reductocondensation with isobutyraldehyde and NaCNBH3. Reduction of the substituted amine (V) with LiBH4 or LiAlH4 affords the alcohol (IX), which is converted into the corresponding azide (X) as already reported for (II). Reduction of azide (X) by means of SnCl2?H2O/NaOH in water yields amine (XI), which is condensed with acid (XII) in presence of 1-ethyl-3-(3-dimethylaminopropyl)carbodiimide hydrocloride (WSC) and HOBt. Elimination of the protecting group Boc with HCl provides derivative (XIII), which is finally condensed with the aromatic acid (XIV) in the same conditions described for the coupling of (XI) with (XII).

参考文献No.570682
标题:Pyrrolidine inhibitors of human cytosolic phospholipase A2
作者:Seno, K.; Okuno, T.; Nishi, K.; Murakami, Y.; Watanabe, F.; Matsuura, T.; Wada, M.; Fujii, Y.; Yamada, M.; Ogawa, T.; Okada, T.; Hashizume, H.; Kii, M.; Hara, S.; Hagishita, S.; Nakamoto, S.; Yamada, K.; Chikazawa, Y.; Ueno, M.; Teshirogi, I.; et al.
来源:J Med Chem 2000,43(6),1041
合成路线图解说明:

Treatment of the alcohol (I) with MsCl in the presence of TEA, followed by treatment with NaN3 in presence of HMPA yields the azide derivative (II). This species reacts with isobutyraldehide under reductive conditions (H2, Pd/C) leading to the substituted amine (III) which will be further substituted by reaction with the bromine derivative (IV) in basic conditions to yield derivative (V). Derivative (V) can also be obtained by following this pathway: Reduction of azide (II) with PPh3 in THF followed by reaction with refluxing water yields amine derivative (VI). This derivative is reductocondensed with the aldehyde (VII) and NaBH4 providing the substituted amine (VIII). This amine is further substituted by reductocondensation with isobutyraldehyde and NaCNBH3. Reduction of the substituted amine (V) with LiBH4 or LiAlH4 affords the alcohol (IX), which is converted into the corresponding azide (X) as already reported for (II). Reduction of azide (X) by means of SnCl2?H2O/NaOH in water yields amine (XI), which is condensed with acid (XII) in presence of 1-ethyl-3-(3-dimethylaminopropyl)carbodiimide hydrocloride (WSC) and HOBt. Elimination of the protecting group Boc with HCl provides derivative (XIII), which is finally condensed with the aromatic acid (XIV) in the same conditions described for the coupling of (XI) with (XII).

Drug Information Express,Drug R&D,Chemical Database,Patent Search.
Copyright © 2006-2026 Drug Future. All rights reserved.Contact Us