【药物名称】MGS-0028
化学结构式(Chemical Structure):
参考文献No.42443
标题:6-Fluorobicyclo[3.1.0]hexane derivs.
作者:Kumagai, T.; Sakagami, K.; Nakazato, A.; Tomisawa, K. (Taisho Pharmaceutical Co., Ltd.)
来源:EP 1110943; JP 2000336071; WO 0012464
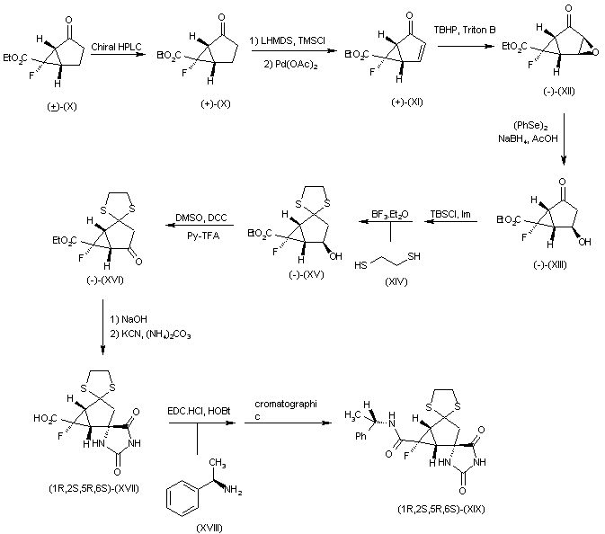
合成路线图解说明:

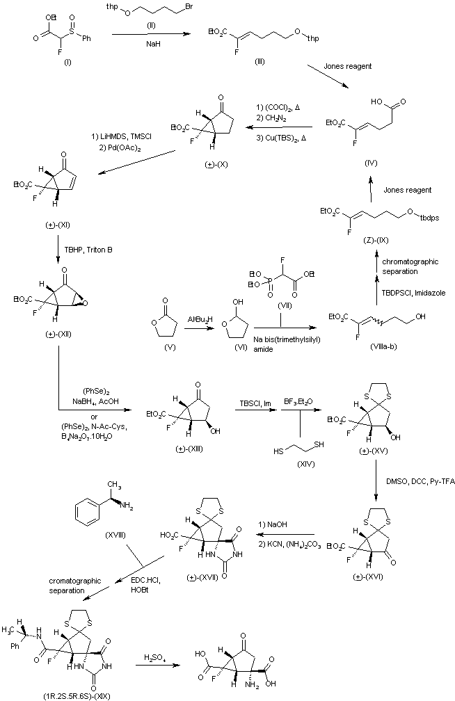
Coupling of ethyl phenylsulfinylfluoro acetate (I) with bromo derivative (II) by means of NaH in DMF yields ethyl hexenoate (III), which is then oxidized by means of Jones reagent in acetone to provide 5-carboxy pentenoate derivative (IV). Alternatively, compound (IV) can be obtained as follows: eduction of gamma-butyrolactone (V) in THF with aluminum diisobutylhydride in toluene affords gamma-butyrolactol (VI), which is treated with ethyl (diethoxyphosphoryl)fluoroacetate (VII) and sodium bis(trimethylsilyl)amide in THF to provide an isomeric mixture of hexenoates (VIII). O-Protection of (VIII) by means of tert-butyldiphenylchlorosilane and imidazole in DMF followed by chromatographic separation of the geometrical isomers furnishes hexenoate (Z)-(IX), which is finally oxidized with Jones reagent in acetone. Conversion of carboxylic acid (IV) into bicycle (?-(X) is then performed by first reaction with oxalyl chloride in refluxing hexane to form the corresponding acid chloride, followed by treatment with diazomethane in ether and subsequent reaction with cooper(II) bis(N-tert-butylsalicylaldiimidate) in refluxing benzene. Treatment of oxobicycle (?-(X) with LiHMDS and chlorotrimethylsilane in THF followed by reaction with palladium acetate in acetonitrile gives 6-fluoro-2-oxobicyclo[3.1.0]hex-3-en-6-carboxylate (?-(XI), from which epoxide (?-(XII) is obtained by reaction in toluene with tert-butyl hydroxyperoxide (TBHP) and benzyltrimethylammoniumhydroxide (Triton B) in MeOH or EtOH. Epoxide reduction of (?-(XII) using diphenyl diselenide (PhSe)2 and sodium borohydride in the presence of HOAc in EtOH, or by means of (PhSe)2, N-acetyl-L-cysteine and sodium tetraborate decahydrate in H2O:EtOH, yields hydroxy derivative (?-(XIII), which is converted into ethylenedithio derivative (?-(XV) by first protection of the hydroxyl group with tert-butyldimethylsilyl chloride in DMF in the presence of imidazole, followed by thioketalization with 1,2-ethanedithiol (XIV) and boron trifluoride-diethylether complex in CHCl3 (with subsequent TBS group removal during work-up). Oxidation of the hydroxyl group of (?-(XV) with DMSO and dicyclohexylcarbodiimide (DCC) in the presence of pyridine and TFA gives ketone (?-(XVI), which is then hydrolyzed with NaOH in EtOH and subjected to reaction with KCN and ammonium carbonate (Bucherer-Bergs conditions) to yield hydantoin (?-(XVII). Coupling of (?-(XVII) with (R)-(+)-1-phenylethylamine using EDC-HCl and HOBt followed by chromatographic separation of the two resulting diastereomers furnishes (1R,2S,5R,6S)-(XIX), which is finally converted into the desired product after hydrolysis with H2SO4.

合成路线图解说明:

Alternatively, intermediate (1R,2S,5R,6S)-(XIX) can also be obtained by first separation of the isomeric mixture (?-(X) by chiral HPLC to provide isomer (+)-(X), which is then subjected to the same process described for (?-(X) in Scheme 28677701a to furnish the desired compound (1R,2S,5R,6S)-(XIX).

参考文献No.592798
标题:Synthesis SAR and biological activities of potent and selective group II metabotropic glutamate receptor antagonists, novel 2-amino-fluorobicyclo[3.1.0]hexane-2,6-dicarboxylic acid derivatives
作者:Yoshikawa, R.; Kumagai, T.; Suzuki, Y.; Nakazato, A.; Sakagami, K.; Chaki, S.; Okuyama, S.
来源:16th Int Symp Med Chem (Sept 18 2000, Bologna) 2000,Abst PB-104
合成路线图解说明:

Coupling of ethyl phenylsulfinylfluoro acetate (I) with bromo derivative (II) by means of NaH in DMF yields ethyl hexenoate (III), which is then oxidized by means of Jones reagent in acetone to provide 5-carboxy pentenoate derivative (IV). Alternatively, compound (IV) can be obtained as follows: eduction of gamma-butyrolactone (V) in THF with aluminum diisobutylhydride in toluene affords gamma-butyrolactol (VI), which is treated with ethyl (diethoxyphosphoryl)fluoroacetate (VII) and sodium bis(trimethylsilyl)amide in THF to provide an isomeric mixture of hexenoates (VIII). O-Protection of (VIII) by means of tert-butyldiphenylchlorosilane and imidazole in DMF followed by chromatographic separation of the geometrical isomers furnishes hexenoate (Z)-(IX), which is finally oxidized with Jones reagent in acetone. Conversion of carboxylic acid (IV) into bicycle (?-(X) is then performed by first reaction with oxalyl chloride in refluxing hexane to form the corresponding acid chloride, followed by treatment with diazomethane in ether and subsequent reaction with cooper(II) bis(N-tert-butylsalicylaldiimidate) in refluxing benzene. Treatment of oxobicycle (?-(X) with LiHMDS and chlorotrimethylsilane in THF followed by reaction with palladium acetate in acetonitrile gives 6-fluoro-2-oxobicyclo[3.1.0]hex-3-en-6-carboxylate (?-(XI), from which epoxide (?-(XII) is obtained by reaction in toluene with tert-butyl hydroxyperoxide (TBHP) and benzyltrimethylammoniumhydroxide (Triton B) in MeOH or EtOH. Epoxide reduction of (?-(XII) using diphenyl diselenide (PhSe)2 and sodium borohydride in the presence of HOAc in EtOH, or by means of (PhSe)2, N-acetyl-L-cysteine and sodium tetraborate decahydrate in H2O:EtOH, yields hydroxy derivative (?-(XIII), which is converted into ethylenedithio derivative (?-(XV) by first protection of the hydroxyl group with tert-butyldimethylsilyl chloride in DMF in the presence of imidazole, followed by thioketalization with 1,2-ethanedithiol (XIV) and boron trifluoride-diethylether complex in CHCl3 (with subsequent TBS group removal during work-up). Oxidation of the hydroxyl group of (?-(XV) with DMSO and dicyclohexylcarbodiimide (DCC) in the presence of pyridine and TFA gives ketone (?-(XVI), which is then hydrolyzed with NaOH in EtOH and subjected to reaction with KCN and ammonium carbonate (Bucherer-Bergs conditions) to yield hydantoin (?-(XVII). Coupling of (?-(XVII) with (R)-(+)-1-phenylethylamine using EDC-HCl and HOBt followed by chromatographic separation of the two resulting diastereomers furnishes (1R,2S,5R,6S)-(XIX), which is finally converted into the desired product after hydrolysis with H2SO4.

参考文献No.592800
标题:Synthesis, SAR, and biological activities of potent and selective group II mGluR agonists, novel 2-amino-6-fluorobicyclo[3.1.0]hexane-2,6-dicarboxylic acid derivatives
作者:Nakazato, A.; et al.
来源:220th ACS Natl Meet (Aug 20 2000, Washington DC) 2000,Abst MEDI 104
合成路线图解说明:

Coupling of ethyl phenylsulfinylfluoro acetate (I) with bromo derivative (II) by means of NaH in DMF yields ethyl hexenoate (III), which is then oxidized by means of Jones reagent in acetone to provide 5-carboxy pentenoate derivative (IV). Alternatively, compound (IV) can be obtained as follows: eduction of gamma-butyrolactone (V) in THF with aluminum diisobutylhydride in toluene affords gamma-butyrolactol (VI), which is treated with ethyl (diethoxyphosphoryl)fluoroacetate (VII) and sodium bis(trimethylsilyl)amide in THF to provide an isomeric mixture of hexenoates (VIII). O-Protection of (VIII) by means of tert-butyldiphenylchlorosilane and imidazole in DMF followed by chromatographic separation of the geometrical isomers furnishes hexenoate (Z)-(IX), which is finally oxidized with Jones reagent in acetone. Conversion of carboxylic acid (IV) into bicycle (?-(X) is then performed by first reaction with oxalyl chloride in refluxing hexane to form the corresponding acid chloride, followed by treatment with diazomethane in ether and subsequent reaction with cooper(II) bis(N-tert-butylsalicylaldiimidate) in refluxing benzene. Treatment of oxobicycle (?-(X) with LiHMDS and chlorotrimethylsilane in THF followed by reaction with palladium acetate in acetonitrile gives 6-fluoro-2-oxobicyclo[3.1.0]hex-3-en-6-carboxylate (?-(XI), from which epoxide (?-(XII) is obtained by reaction in toluene with tert-butyl hydroxyperoxide (TBHP) and benzyltrimethylammoniumhydroxide (Triton B) in MeOH or EtOH. Epoxide reduction of (?-(XII) using diphenyl diselenide (PhSe)2 and sodium borohydride in the presence of HOAc in EtOH, or by means of (PhSe)2, N-acetyl-L-cysteine and sodium tetraborate decahydrate in H2O:EtOH, yields hydroxy derivative (?-(XIII), which is converted into ethylenedithio derivative (?-(XV) by first protection of the hydroxyl group with tert-butyldimethylsilyl chloride in DMF in the presence of imidazole, followed by thioketalization with 1,2-ethanedithiol (XIV) and boron trifluoride-diethylether complex in CHCl3 (with subsequent TBS group removal during work-up). Oxidation of the hydroxyl group of (?-(XV) with DMSO and dicyclohexylcarbodiimide (DCC) in the presence of pyridine and TFA gives ketone (?-(XVI), which is then hydrolyzed with NaOH in EtOH and subjected to reaction with KCN and ammonium carbonate (Bucherer-Bergs conditions) to yield hydantoin (?-(XVII). Coupling of (?-(XVII) with (R)-(+)-1-phenylethylamine using EDC-HCl and HOBt followed by chromatographic separation of the two resulting diastereomers furnishes (1R,2S,5R,6S)-(XIX), which is finally converted into the desired product after hydrolysis with H2SO4.

合成路线图解说明:

Alternatively, intermediate (1R,2S,5R,6S)-(XIX) can also be obtained by first separation of the isomeric mixture (?-(X) by chiral HPLC to provide isomer (+)-(X), which is then subjected to the same process described for (?-(X) in Scheme 28677701a to furnish the desired compound (1R,2S,5R,6S)-(XIX).

参考文献No.600480
标题:Synthesis, SARs, and pharmacological characterization of 2-amino-3 or 6-fluorobicyclo[3.1.0]hexane-2,6-dicarboxylix acid derivatives as potent, selective, and orally active group II metabotropic glutamate receptor agonists
作者:Nakazato, A.; Kumagai, T.; Sakagami, K.; Yoshikawa, R.; Suzuki, Y.; Chaki, S.; Ito, H.; Taguchi, T.; Nakanishi, S.; Okuyama, S.
来源:J Med Chem 2000,43(25),4893
合成路线图解说明:

Coupling of ethyl phenylsulfinylfluoro acetate (I) with bromo derivative (II) by means of NaH in DMF yields ethyl hexenoate (III), which is then oxidized by means of Jones reagent in acetone to provide 5-carboxy pentenoate derivative (IV). Alternatively, compound (IV) can be obtained as follows: eduction of gamma-butyrolactone (V) in THF with aluminum diisobutylhydride in toluene affords gamma-butyrolactol (VI), which is treated with ethyl (diethoxyphosphoryl)fluoroacetate (VII) and sodium bis(trimethylsilyl)amide in THF to provide an isomeric mixture of hexenoates (VIII). O-Protection of (VIII) by means of tert-butyldiphenylchlorosilane and imidazole in DMF followed by chromatographic separation of the geometrical isomers furnishes hexenoate (Z)-(IX), which is finally oxidized with Jones reagent in acetone. Conversion of carboxylic acid (IV) into bicycle (?-(X) is then performed by first reaction with oxalyl chloride in refluxing hexane to form the corresponding acid chloride, followed by treatment with diazomethane in ether and subsequent reaction with cooper(II) bis(N-tert-butylsalicylaldiimidate) in refluxing benzene. Treatment of oxobicycle (?-(X) with LiHMDS and chlorotrimethylsilane in THF followed by reaction with palladium acetate in acetonitrile gives 6-fluoro-2-oxobicyclo[3.1.0]hex-3-en-6-carboxylate (?-(XI), from which epoxide (?-(XII) is obtained by reaction in toluene with tert-butyl hydroxyperoxide (TBHP) and benzyltrimethylammoniumhydroxide (Triton B) in MeOH or EtOH. Epoxide reduction of (?-(XII) using diphenyl diselenide (PhSe)2 and sodium borohydride in the presence of HOAc in EtOH, or by means of (PhSe)2, N-acetyl-L-cysteine and sodium tetraborate decahydrate in H2O:EtOH, yields hydroxy derivative (?-(XIII), which is converted into ethylenedithio derivative (?-(XV) by first protection of the hydroxyl group with tert-butyldimethylsilyl chloride in DMF in the presence of imidazole, followed by thioketalization with 1,2-ethanedithiol (XIV) and boron trifluoride-diethylether complex in CHCl3 (with subsequent TBS group removal during work-up). Oxidation of the hydroxyl group of (?-(XV) with DMSO and dicyclohexylcarbodiimide (DCC) in the presence of pyridine and TFA gives ketone (?-(XVI), which is then hydrolyzed with NaOH in EtOH and subjected to reaction with KCN and ammonium carbonate (Bucherer-Bergs conditions) to yield hydantoin (?-(XVII). Coupling of (?-(XVII) with (R)-(+)-1-phenylethylamine using EDC-HCl and HOBt followed by chromatographic separation of the two resulting diastereomers furnishes (1R,2S,5R,6S)-(XIX), which is finally converted into the desired product after hydrolysis with H2SO4.

Drug Information Express,Drug R&D,Chemical Database,Patent Search.
Copyright © 2006-2026 Drug Future. All rights reserved.Contact Us