【药物名称】RC-552C, RC-552
化学结构式(Chemical Structure):
参考文献No.42373
标题:Phosphoglycolipid and methods for its use
作者:Sowell, C.G.; Weber, P.A.; Elliott, G.T. (Corixa Corp.)
来源:WO 0011010
合成路线图解说明:

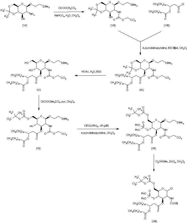
Coupling of protected 2-aminoglucopyranoside (I) with (R)-3-(hexadecanoyloxy)tetradecanoic acid (II) using 1-(3-dimethylaminopropyl)-3-ethylcarbodiimide methiodide gave amide (III). After protection of the 3-hydroxyl group of (III) with 2,2,2-trichloroethyl chloroformate, acetonide hydrolysis with aqueous acetic acid provided intermediate (V).

合成路线图解说明:

Protection of the amino group of aminopyranoside (VI) with 2,2,2-trichloroethyl chloroformate under Schotten-Baumann conditions afforded trichloroethyl carbamate (VII). Subsequent O-acylation of (VII) with acid chloride (VIII) gave ester (IX). Acetonide (IX) cleavage with aqueous AcOH yielded diol (X), which was protected at the primary hydroxyl group using 1,1-dimethyl-2,2,2-trichloroethyl chloroformate yielding (XI). Conversion of (XI) to the required phosphate (XII) was effected by reaction with diphenyl chlorophosphate. The intermediate glycosyl chloride (XIII) was then obtained by treatment of (XII) with dichloromethyl methyl ether and ZnCl2.

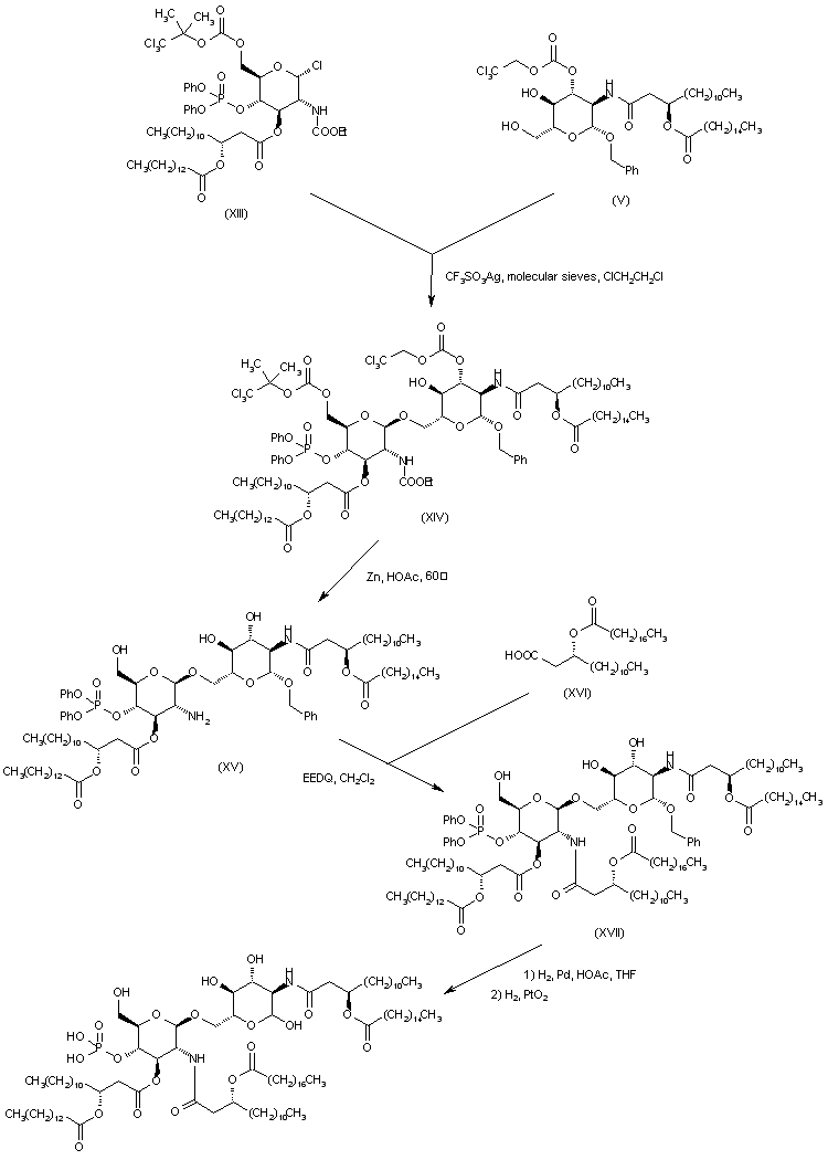
合成路线图解说明:

Coupling of intermediates (V) and (XIII) in the presence of silver triflate gave disaccharide (XIV). The trichloroethyl-based protecting groups of (XIV) were then removed with zinc dust in acetic acid to yield (XV). The glucosamine nitrogen of (XV) was selectively acylated with acid (XVI) to produce amide (XVII). The remaining protecting groups of (XVII) were finally removed by means of a two-phase catalytic hydrogenation employing palladium and platinum catalysts, yielding the title compound.

Drug Information Express,Drug R&D,Chemical Database,Patent Search.
Copyright © 2006-2026 Drug Future. All rights reserved.Contact Us