【药物名称】
化学结构式(Chemical Structure):
参考文献No.569483
标题:A novel class of inhibitors for human steroid 5alpha-reductase: Synthesis and biological evaluation of indole derivatives. II
作者:Igarashi, S.; Inami, H.; Hara, H.; Fujii, M.; Koutoku, H.; Oritani, H.; Mase, T.
来源:Chem Pharm Bull 2000,48(3),382
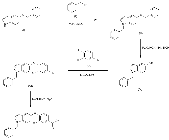
合成路线图解说明:

The N-benzyl indole derivative (III) was prepared by alkylation of 5-(benzyloxy)indole (I) with benzyl bromide (II) in the presence of KOH. The O-benzyl protecting group of (III) was subsequently removed by transfer hydrogenolysis with ammonium formate and Pd/C to afford the 5-hydroxyindole (IV), which was further condensed with 3-chloro-4-fluorobenzonitrile (V) to produce the diaryl ether (VI). Finally, basic hydrolysis of the cyano group of (VI) gave the corresponding benzoic acid.

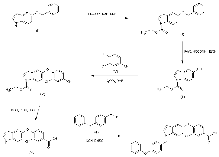
合成路线图解说明:

The acylation of 5-(benzyloxy)indole (I) with ethyl chloroformate produced the N-(ethoxycarbonyl)indole (II), which was debenzylated by transfer hydrogenolysis with ammonium formate in the presence of Pd/C to afford the 5-hydroxyindole (III). Condensation of (III) with 3-chloro-4-fluorobenzonitrile (IV) produced the diaryl ether (V). Then, basic hydrolysis of the cyano and ethoxycarbonyl groups of (V) gave the benzoic acid derivative (VI). Finally, N-alkylation of the indole ring of (VI) with 4-phenoxybenzyl bromide (VII) furnished the title compound.

Drug Information Express,Drug R&D,Chemical Database,Patent Search.
Copyright © 2006-2026 Drug Future. All rights reserved.Contact Us