【药物名称】SJ-755
化学结构式(Chemical Structure):
参考文献No.34304
标题:Spirocycle integrin inhibitors
作者:Jadhav, P.K.; Smallheer, J.M. (DuPont Pharmaceuticals Co.)
来源:EP 0888344; US 5760029; WO 9733887
合成路线图解说明:

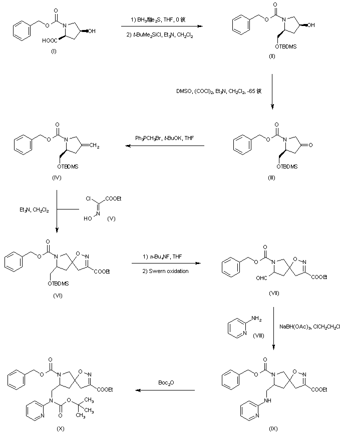
Reduction of N-(benzyloxycarbonyl)-4-hydroxyproline (I) with boranedimethylsulfide complex in THF provided the corresponding diol, which was selectively protected at the primary hydroxyl group as the tert-butyldimethylsilyl ether (II). Swern oxidation of the remaining secondary alcohol of (II) afforded ketone (III). This was converted to alkene (IV) by Wittig olefination with methylene triphenylphosphorane. The 1,3-dipolar cycloaddition of (IV) with the nitrile oxide generated from chlorooxime (V) and Et3N furnished spirocycle (VI) as a diastereomeric mixture. Deprotection of the silyl ether of (VI) by treatment with tetrabutylammonium fluoride, followed by Swern oxidation of the resulting alcohol provided aldehyde (VII). Reductive amination of (VII) with 2-aminopyridine (VIII) gave amine (IX), which was protected as the tert-butyl carbamate (X) using Boc2O.

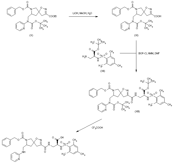
合成路线图解说明:

After ester (X) hydrolysis with LiOH, the free acid (XI) was coupled with tert-butyl (S)-3-amino-2-(2,4,6-trimethylphenylsulfonylamino)propionate (XII) to yield amide (XIII). Finally, the tert-butyl and Boc protecting groups of (XIII) were cleaved by treatment with trifluoroacetic acid.

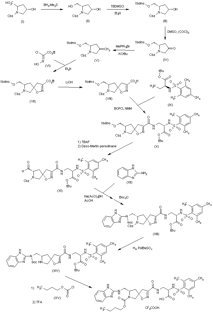
合成路线图解说明:

Reduction of protected hydroxyproline (I) by means of borane dimethylsulfide complex (BH3-Me2S) in THF affords protected hydroxy prolinol (II), which is then treated with tert-butyldimethylsilyl chloride and Et3N in CH2Cl2 to provide hydroxypyrrolidine derivative (III). Swern oxidation of (III) by means of oxalyl chloride in DMSO/CH2Cl2 yields pyrrolidinone (IV), which is then converted into methylenepyrrolidine (V) by reaction with methyltriphenylphosphonium bromide and KOtBu in ether. Treatment of (V) with ethyl chlorooximidoacetate (VI) and Et3N in CH2Cl2 gives spiro compound (VII), which is then subjected to saponification by treatment with LiOH in MeOH to afford carboxylic acid (VIII). Coupling of (VIII) with amine (IX) by means of BOPCl and N-methylmorpholine (NMM) in DMF furnishes amide (X), which is then converted into aldehyde (XI) by first TBDMS removal by treatment with tetrabutylammonium fluoride (TBAF) in THF and oxidation with Dess-Martin periodinane. Reductive amination of aldehyde (XI) with amine (XII) by means of Na(AcO)3BH in benzene/1,2-dichloroethane followed by treatment with Boc2O provides compound (XIII), whose Cbz is selectively removed by hydrogenation over Pd/Ba2SO4 to give secondary amine (XIV). Finally, acylation of (XIV) with chloroformate (XV) followed by Boc removal by means of TFA allows to obtain the desired product.

Drug Information Express,Drug R&D,Chemical Database,Patent Search.
Copyright © 2006-2026 Drug Future. All rights reserved.Contact Us