【药物名称】A-204176
化学结构式(Chemical Structure):
参考文献No.42240
标题:Imidazoles and related cpds. as alpha1A agonists
作者:Altenbach, R.J.; Holladay, M.W.; Carroll, W.A.; Meyer, M.D.; Kerwin, J.F. Jr.; Kolasa, T.; Rohde, J.; Khilevich, A. (Abbott Laboratories Inc.)
来源:WO 0007997
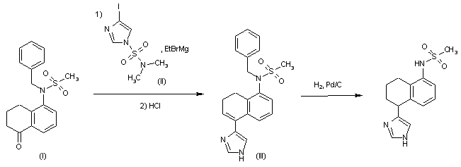
合成路线图解说明:

Reaction of methanesulfonamide derivative (I) with 4-iodo-N,N-dimethyl-1H-imidazole-1-sulfonamide (I) and EtMgBr in CH2Cl2 followed by heating with diluted HCl affords compound (III), which is debenzylated and reduced by hydrogenation over Pd/C in MeOH.

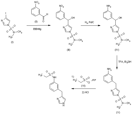
合成路线图解说明:

Treatment of 4-iodo-N,N-dimethyl-1H-imidazole-1-sulfonamide (I) with EtMgBr and 3-nitrobenzaldehyde (II) in CH2Cl2 yields derivative (III), whose nitro moiety is reduced by hydrogenation over Pd/C in EtOAc to afford aminophenyl derivative (IV). Treatment of (IV) with Et3SiH in TFA provides aminobenzyl derivative (V), which is finally converted into the desired compound by treatment with pyridine and ethanesulfonyl chloride (VI) followed by reflux in HCl.

Drug Information Express,Drug R&D,Chemical Database,Patent Search.
Copyright © 2006-2026 Drug Future. All rights reserved.Contact Us