【药物名称】
化学结构式(Chemical Structure):
参考文献No.38176
标题:Antithrombotic agents
作者:Sawyer, J.S.; Tinsley, J.M.; Wiley, M.R.; Hall, S.E.; Milot, G.; Shuman, R.T.; Goodson, T. Jr.; Klimkowski, V.J.; Kyle, J.A.; Masters, J.J.; Weir, L.C.; Mendel, D.; Beight, D.W.; Tebbe, A.L.; Yee, Y.K.; et al. (Eli Lilly and Company)
来源:WO 9900121
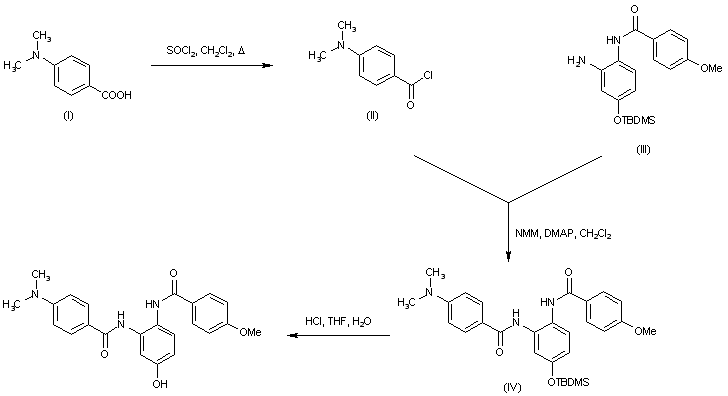
合成路线图解说明:

Treatment of 4-(dimethylamino)benzoic acid (I) with thionyl chloride produced the corresponding acid chloride (II). Subsequent coupling of (II) with 4-tert-butyldimethylsilyloxy-N1-(4-methoxybenzoyl)-1,2-benzenediamine (III) yielded the bisamide (IV). Finally, desilylation of (IV) in the presence of HCl in aqueous THF afforded the title phenol compound.

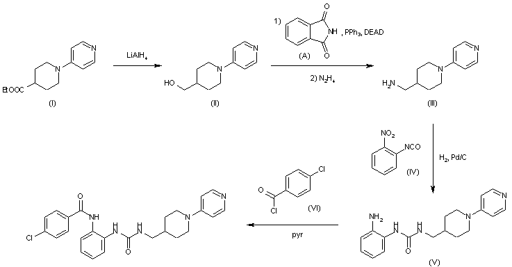
合成路线图解说明:

Reduction of ethyl ester (I) with LiAlH4 provides primary carbinol (II), which is then converted into amine (III) by Mitsunobu reaction with phthalimide (A) in the presence of PPh3 and DEAD in THF, followed by an hydrazine mediated deprotection in EtOH. Reaction of amine (III) with 2-nitrophenyl isocyanate (IV) in CHCl3/THF or CH2Cl2, followed by reduction of the nitro group by hydrogenation over Pd/C in EtOH, affords aniline (V). Finally, aniline (V) is condensed with acid chloride (VI) in CHCl3 in the presence of pyridine to furnish the target compound.

参考文献No.569167
标题:1,2-Dibenzamidobenzene inhibitors of human factor Xa
作者:Herron, D.K.; Goodson, T. Jr.; Wiley, M.R.; Weir, L.C.; Kyle, J.A.; Yee, Y.K.; Tebbe, A.L.; Tinsley, J.M.; Mendel, D.; Masters, J.J.; Franciskovich, J.B.; Sawyer, J.S.; Beight, D.W.; Ratz, A.M.; Milot, G.; Hall, S.E.; Klimkowski, V.J.; Wikel, J.H.; et al.
来源:J Med Chem 2000,43(5),859
合成路线图解说明:

Treatment of 4-(dimethylamino)benzoic acid (I) with thionyl chloride produced the corresponding acid chloride (II). Subsequent coupling of (II) with 4-tert-butyldimethylsilyloxy-N1-(4-methoxybenzoyl)-1,2-benzenediamine (III) yielded the bisamide (IV). Finally, desilylation of (IV) in the presence of HCl in aqueous THF afforded the title phenol compound.

Drug Information Express,Drug R&D,Chemical Database,Patent Search.
Copyright © 2006-2026 Drug Future. All rights reserved.Contact Us