【药物名称】
化学结构式(Chemical Structure):
参考文献No.569171
标题:Conformationally constrained analogues of diacylglycerol (DAG). 16. How much structural complexity is necessary for recognition and high binding affinity to protein kinase C?
作者:Nacro, K.; Bienfait, B.; Lee, J.; Han, K.C.; Kang, J.-H.; Benzaria, S.; Lewin, N.E.; Bhattacharyya, D.K.; Blumberg, P.M.; Marquez, V.E.
来源:J Med Chem 2000,43(5),921
合成路线图解说明:

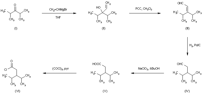
Addition of vinylmagnesium bromide to diisopropyl ketone (I) produced carbinol (II). Subsequent oxidation of (II) with pyridinium chlorochromate gave unsaturated aldehyde (III), which was further hydrogenated to the saturated aldehyde (IV). Optionally, oxidation with sodium chlorite produced carboxylic acid (V), which was converted to acid chloride (VI) using oxalyl chloride and pyridine.

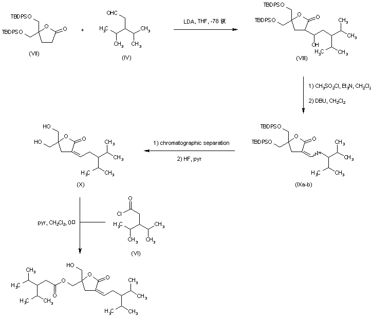
合成路线图解说明:

Aldol condensation of silylated lactone (VII) with aldehyde (IV) gave hydroxy lactone (VIII). Subsequent hydroxyl group mesylation followed by elimination in the presence of DBU generated alkylidene lactone (IXa-b) as a mixture of geometric isomers, which were separated by chromatography. Desilylation of (IX) to afford diol (X) was achieved by means of HF/pyridine. Finally, monoacylation of (X) with acid chloride (VI) and pyridine furnished the target ester.

Drug Information Express,Drug R&D,Chemical Database,Patent Search.
Copyright © 2006-2026 Drug Future. All rights reserved.Contact Us