【药物名称】FN-6
化学结构式(Chemical Structure):
参考文献No.45563
标题:Ligands for metabotropic glutamate receptors
作者:Kozikowski, A.P.; Nan, F.; Wroblewski, J.T. (Georgetown University)
来源:WO 0064911
合成路线图解说明:

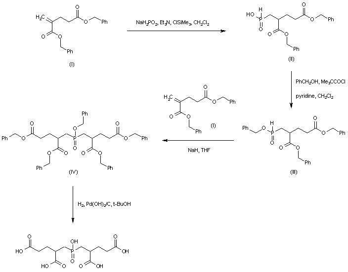
Conjugate addition of sodium hypophosphite to dibenzyl alpha-methyleneglutarate (I) afforded the phosphonate (II), which was converted to the benzyl-protected compound (III) by treatment with benzyl alcohol in the presence of pivaloyl chloride. Deprotonation of (III) with NaH followed by conjugate addition to (I) provided the pentabenzyl ester (IV). Finally, hydrogenolysis of the benzyl ester groups of (IV) using H2 over palladium hydroxide gave rise to the title compound.

参考文献No.569163
标题:Dual function glutamate-related ligands: Discovery of a novel, potent inhibitor of glutamae carboxypeptidase II possessing mGluR3 agonist activity
作者:Nan, F.; Bzdega, T.; Pshenichkin, S.; Wroblewski, J.T.; Wroblewska, B.; Neale, J.H.; Kozikowski, A.P.
来源:J Med Chem 2000,43(5),772
合成路线图解说明:

Conjugate addition of sodium hypophosphite to dibenzyl alpha-methyleneglutarate (I) afforded the phosphonate (II), which was converted to the benzyl-protected compound (III) by treatment with benzyl alcohol in the presence of pivaloyl chloride. Deprotonation of (III) with NaH followed by conjugate addition to (I) provided the pentabenzyl ester (IV). Finally, hydrogenolysis of the benzyl ester groups of (IV) using H2 over palladium hydroxide gave rise to the title compound.

Drug Information Express,Drug R&D,Chemical Database,Patent Search.
Copyright © 2006-2026 Drug Future. All rights reserved.Contact Us